| 查看: 1035 | 回复: 3 | ||
zggcumt木虫 (正式写手)
sunny家的小猪
|
[交流]
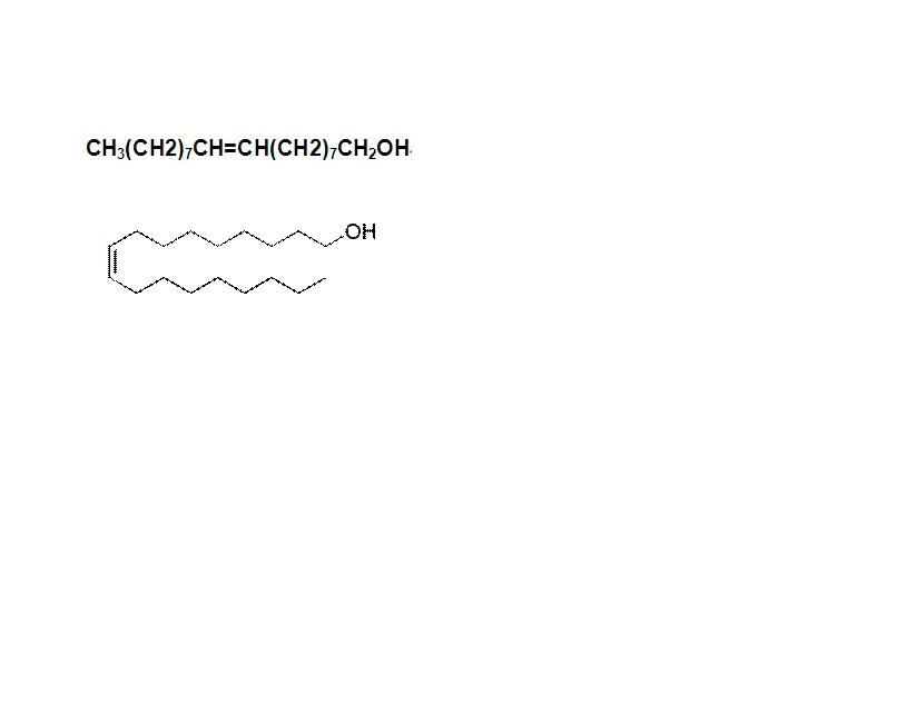
【讨论】关于油醇(顺-9-十八烯醇) 已有3人参与
|
» 本主题相关价值贴推荐,对您同样有帮助:
关于在玻璃片上刮涂均匀无裂纹的P25
已经有24人回复
关于可印刷的陶瓷浆料制备的问题一箩筐,求助!!!
已经有6人回复
关于氧化锆陶瓷膜
已经有5人回复
【请教】纤维素的溶解
已经有47人回复

zlongz120
至尊木虫 (著名写手)
周而复始
- FC-EPI: 45
- 应助: 43 (小学生)
- 贵宾: 0.416
- 金币: 18726
- 散金: 202
- 红花: 9
- 沙发: 2
- 帖子: 2437
- 在线: 594.3小时
- 虫号: 317189
- 注册: 2007-03-04
- 性别: GG
- 专业: 化学工程及工业化学

2楼2011-01-21 10:51:35
zggcumt
木虫 (正式写手)
sunny家的小猪
- 应助: 0 (幼儿园)
- 金币: 2917.5
- 散金: 95
- 红花: 14
- 帖子: 793
- 在线: 77.3小时
- 虫号: 497152
- 注册: 2008-01-27
- 性别: MM
- 专业: 应用化学

3楼2011-01-24 08:55:04
99tjsh
银虫 (小有名气)
- 应助: 3 (幼儿园)
- 金币: 254.6
- 散金: 146
- 帖子: 127
- 在线: 124.4小时
- 虫号: 1182422
- 注册: 2011-01-03
- 性别: GG
- 专业: 摄影
4楼2011-02-07 20:11:31














回复此楼