版块导航
正在加载中...
客户端APP下载
论文辅导
调剂小程序
登录
注册
帖子
帖子
用户
本版
应《网络安全法》要求,自2017年10月1日起,未进行实名认证将不得使用互联网跟帖服务。为保障您的帐号能够正常使用,请尽快对帐号进行手机号验证,感谢您的理解与支持!
24小时热门版块排行榜
>
论坛更新日志
(2900)
>
虫友互识
(574)
>
休闲灌水
(102)
>
基金申请
(88)
>
博后之家
(80)
>
导师招生
(75)
>
论文投稿
(74)
>
文献求助
(61)
>
硕博家园
(38)
>
教师之家
(31)
>
考博
(22)
>
药学
(17)
>
招聘信息布告栏
(13)
>
公派出国
(10)
>
考研
(9)
>
论文道贺祈福
(5)
小木虫论坛-学术科研互动平台
»
化学化工区
»
催化
»
表征
»
【求助】XRD问题请教
8
1/1
返回列表
查看: 698 | 回复: 7
只看楼主
@他人
存档
新回复提醒
(忽略)
收藏
在APP中查看
青石之心
银虫
(小有名气)
应助: 1
(幼儿园)
金币: 383.3
帖子: 91
在线: 56.8小时
虫号: 1135596
[交流]
【求助】XRD问题请教
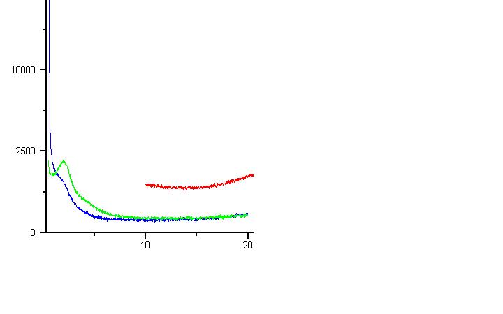
图中绿色的是二氧化硅小角度XRD,蓝色是二氧化硅负载纳米金粒子的小角度XRD。请教一下为什么负载了金之后二氧化硅小角度XRD的峰会消失?
[
Last edited by 青石之心 on 2011-1-13 at 11:44
]
回复此楼
» 猜你喜欢
求助Amsterdam Density Functional
已经有4人回复
Postdoctoral Research Fellow Position in Causal Inference Weill CorneIl Medicine
已经有8人回复
化学工程及工业化学论文润色/翻译怎么收费?
已经有86人回复
武汉纺织大学全国重点实验室陈嵘教授团队招收2026级学术/专业型硕士研究生
已经有0人回复
国家级人才课题组招收2026年入学博士
已经有1人回复
国家级人才课题组招收2026年入学博士
已经有0人回复
国家级人才课题组招收2026年入学博士
已经有0人回复
大连海事大学船舶洁净能源研究中心2026年博士研究生招生启事
已经有10人回复
求 IEC 61340-4-11:2025
已经有0人回复
武汉纺织大学全国重点实验室陈嵘教授团队招收2026级学术/专业型硕士研究生
已经有0人回复
» 本主题相关商家推荐:
(我也要在这里推广)
高级回复
» 本主题相关价值贴推荐,对您同样有帮助:
请教关于石墨烯XRD的问题
已经有26人回复
【请教】XRD图谱问题
已经有9人回复
【请教】银纳米片的XRD峰,有两个问题请教
已经有10人回复
【求助】请教一个关于XRD的问题
已经有8人回复
【请教】关于XRD粉晶问题请教高手
已经有5人回复
【请教】XRD粉末衍射问题
已经有22人回复
【请教】碳的XRD卡片问题(请教碳材料高手)
已经有6人回复
» 抢金币啦!回帖就可以得到:
查看全部散金贴
山东征女友,坐标济南
+
1
/179
ChineseResearchLaTeX: 开源、免费的vibe coding辅助国自然写作
+
1
/81
一个陌生女人的来信
+
1
/62
海法大学线上开放日
+
1
/34
国家级青年人才课题组招收2026级硕士研究生
+
1
/31
海南大学海洋技术与装备学院-科研助理招聘(可读博)--膜分离水处理方向
+
1
/30
国家级青年人才课题组招收2026级硕士研究生
+
1
/29
清华大学深圳国际研究生院招聘-博士后(长期有效)
+
1
/28
英国布里斯托大学诚招博士生,博士后和联合培养生
+
1
/19
太原理工大学集成电路学院招收2026年博士研究生
+
1
/16
上海交通大学-宁波东方理工大学联合培养博士生
+
1
/10
湖南大学-分析检测技术和生物柔性传感器-招收1名博士研究生 (2026年,第二批)
+
1
/7
墨尔本大学(QS13)招全奖博士、CSC资助博士/访问学者(生物医学材料/器官芯片等方向)
+
1
/6
中北大学冯瑞教授*开山大弟子*招募
+
1
/5
怎么发布了求助贴了, 一发就转到删除栏了
+
1
/4
澳科大招收2026秋季全奖博士研究生(药剂学/生物材料方向,3月5日18:00截止)
+
1
/1
墨尔本大学(QS13)急招CSC博士(补齐全奖)/访问学者/博士后(生物医学材料/器官芯片)
+
1
/1
中国地质大学(武汉)杨华明课题组刘磊研究员招收冶金固废资源高值化利用方向博士
+
1
/1
上海大学生物有机电子材料及器件团队博士研究生招聘
+
1
/1
英国伯明翰大学Dr Yueting Sun招收博士生/访问学生学者(化学材料力学工程等方向)
+
1
/1
1楼
2011-01-13 11:43:22
已阅
回复此楼
关注TA
给TA发消息
送TA红花
TA的回帖
xywmusic
至尊木虫
(文坛精英)
应助: 0
(幼儿园)
金币: 11069.3
帖子: 17621
在线: 1211.1小时
虫号: 666052
★
zhangwengui330(金币+1):谢谢应助!! 2011-01-13 14:49:54
青石之心(金币+1):谢谢,我也想过这个原因。但是觉得有点说不通。 2011-01-13 14:52:08
看着不像“消失”,可能是被大峰“吃”掉了!
赞
一下
(1人)
回复此楼
2楼
2011-01-13 12:32:44
已阅
回复此楼
关注TA
给TA发消息
送TA红花
TA的回帖
chemlife
禁虫
(著名写手)
本帖内容被屏蔽
3楼
2011-01-13 18:24:59
已阅
回复此楼
关注TA
给TA发消息
送TA红花
TA的回帖
503230625
银虫
(小有名气)
应助: 0
(幼儿园)
金币: 1799
帖子: 194
在线: 30.5小时
虫号: 1174565
仔细观察一下,其实并未消失,只不过是强度变小了
赞
一下
回复此楼
4楼
2011-01-13 18:45:30
已阅
回复此楼
关注TA
给TA发消息
送TA红花
TA的回帖
bingyu0729
至尊木虫
(职业作家)
应助: 43
(小学生)
金币: 18969.3
帖子: 3954
在线: 695.1小时
虫号: 439954
青石之心(金币+1):谢谢。这个一定能够说明是被堵塞吗? 2011-01-14 08:20:26
如果单纯的二氧化硅小角度有衍射峰的话,说明其属于介孔材料,当负载上金之后,小角衍射峰消失,说明介孔被金堵塞
赞
一下
回复此楼
5楼
2011-01-13 21:24:06
已阅
回复此楼
关注TA
给TA发消息
送TA红花
TA的回帖
zxrno10
捐助贵宾
(著名写手)
应助: 10
(幼儿园)
贵宾: 0.211
金币: 7802
帖子: 2859
在线: 664.4小时
虫号: 851569
青石之心(金币+1):能不能说的稍微明白一点点啊 2011-01-14 08:21:05
小尺寸。。
回复此楼
6楼
2011-01-13 22:14:43
已阅
回复此楼
关注TA
给TA发消息
送TA红花
TA的回帖
zhaogf1982
金虫
(小有名气)
应助: 2
(幼儿园)
金币: 344.1
帖子: 97
在线: 31.5小时
虫号: 109330
有可能金颗粒降低了孔道的排列的规整度和长城有序性
赞
一下
回复此楼
7楼
2011-01-29 00:50:03
已阅
回复此楼
关注TA
给TA发消息
送TA红花
TA的回帖
陈彦
至尊木虫
(文坛精英)
应助: 12
(小学生)
金币: 16627.1
帖子: 11631
在线: 510.5小时
虫号: 1055188
负载金以后,原来的介孔结构减弱,破坏了原有的介孔结构.
赞
一下
回复此楼
8楼
2011-02-06 08:20:03
已阅
回复此楼
关注TA
给TA发消息
送TA红花
TA的回帖
相关版块跳转
有机交流
有机资源
高分子
无机/物化
分析
催化
工艺技术
化工设备
石油化工
精细化工
电化学
环境
SciFinder/Reaxys
我要订阅楼主
青石之心
的主题更新
8
1/1
返回列表
如果回帖内容含有宣传信息,请如实选中。否则帐号将被全论坛禁言
普通表情
龙
兔
虎
猫
高级回复
(可上传附件)
百度网盘
|
360云盘
|
千易网盘
|
华为网盘
在新窗口页面中打开自己喜欢的网盘网站,将文件上传后,然后将下载链接复制到帖子内容中就可以了。
信息提示
关闭
请填处理意见
关闭
确定