| ²é¿´: 3043 | »Ø¸´: 19 | ||||
yuyanwifeͳæ (ÖøÃûдÊÖ)
|
[½»Á÷]
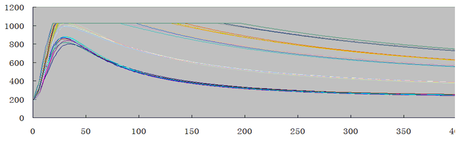
¡¾ÇóÖú¡¿ÈçºÎ½âÊÍÕâ¸öÆÏÌÑÌÇ´«¸ÐÆ÷ͼ---´«¸Ð¸ßÊÖ½ø ÒÑÓÐ14È˲ÎÓë
|
|
²âÁ˲»Í¬Å¨¶ÈÆÏÌÑÌǵÄi-tµÄ£¬Ææ¹ÖµÄÊǴﵽƽºâʱºòµÄµçÁ÷¶¼Ò»Ñù£¿£¿Èç¹ûдÎÄÕÂÔõô½âÊÍÄØ£¬ÁíÍâÄâºÏŨ¶ÈºÍµçÁ÷ÏßÐÔʱºòÔõôѡȡÊý¾ÝÄØ£¿Çó¸ßÊÖ½âÊÍ |
» ÊÕ¼±¾ÌûµÄÌÔÌûר¼ÍƼö
µç»¯Ñ§´«¸Ð |
» ²ÂÄãϲ»¶
ºþÄÏũҵ´óѧÄÜÔ´²ÄÁÏ´´ÐÂÍŶÓÕÐÊÕ2025»¯Ñ§×¨ÒµÑо¿Éú£¨Ñ§Ë¶£©µ÷¼Á
ÒѾÓÐ0È˻ظ´
2026ÄêÎ÷»ª´óѧ²ÄÁÏѧԺ-²ÄÁϽü¾»³ÉÐÎÓë±íÃæ¼¼ÊõÑо¿ÍŶÓ-ÕÐÊÕµ÷¼ÁÑо¿Éú
ÒѾÓÐ9È˻ظ´
·ÖÎö»¯Ñ§ÂÛÎÄÈóÉ«/·ÒëÔõôÊÕ·Ñ?
ÒѾÓÐ150È˻ظ´
µ÷¼ÁÐÅÏ¢
ÒѾÓÐ0È˻ظ´
»ªÄÏÀí¹¤0703»¯Ñ§£¬×Ü·Ö336Çóµ÷¼Á
ÒѾÓÐ4È˻ظ´
ºÓ±±Å©´óÉúÎïÓëҽҩרҵÕÐÊÕµ÷¼Á£¬Ãû¶î³ä×ã
ÒѾÓÐ0È˻ظ´
Æë³¹¤Òµ´óѧ ¹ú¼ÒÖØµãʵÑéÊÒ-ÐÂÄÜÔ´¡¢ï®Àë×Óµç³Ø¡¢²ÄÁÏ¡¢»¯Ñ§·½Ïò
ÒѾÓÐ0È˻ظ´
һ־Ըǰ4λ´úÂë0703¾ù¿É±¨Ãû-ºÓ±±´óѧ·ÖÎö»¯Ñ§×¨ÒµÕÐÊÕµ÷¼Á¿¼Éú
ÒѾÓÐ57È˻ظ´
¡ï¡ï±¬¡ï¡ï0860ÉúÎïÓëÒ½Ò©µ÷¼Á¿¼Éú¿´¹ýÀ´£¬ºÓ±±´óѧ»¯Ñ§Óë²ÄÁÏ¿ÆÑ§Ñ§Ôº
ÒѾÓÐ64È˻ظ´
½ÜÇà/³¤½ÍŶÓÕÐÊÕµ÷¼Á
ÒѾÓÐ0È˻ظ´
ÖÐÄÏÁÖÒµ¿Æ¼¼´óѧÂÞÓ·æ½ÌÊÚÍŶÓ2026ÄêÕÐÊÕ²ÄÁÏÀàµ÷¼ÁÑо¿Éú
ÒѾÓÐ0È˻ظ´
» ±¾Ö÷ÌâÏà¹Ø¼ÛÖµÌùÍÆ¼ö£¬¶ÔÄúͬÑùÓаïÖú:
ÓйصÚÈý´úÆÏÌÑÌÇÉúÎï´«¸ÐÆ÷µÄѯÎÊ
ÒѾÓÐ14È˻ظ´
ÎÞøÆÏÌÑÌÇ´«¸ÐÆ÷
ÒѾÓÐ3È˻ظ´
ÎÞøÆÏÌÑÌÇ´«¸ÐÆ÷Ö®i-tÇúÏß
ÒѾÓÐ8È˻ظ´
ÆÏÌÑÌÇ·Çø´«¸ÐÆ÷ÖÐNiµÄÎȶ¨ÐÔÎÊÌâ
ÒѾÓÐ3È˻ظ´
ÆÏÌÑÌÇ´«¸ÐÆ÷
ÒѾÓÐ6È˻ظ´
Çë×öÆÏÌÑÌÇ´«¸ÐµÄÈ˰ïæ¿´Ò»ÏÂBiosensors and bioelectronicsµÄÉó¸åÒâ¼û
ÒѾÓÐ6È˻ظ´
¡¾Çë½Ì¡¿ÄÉÃ×´«¸ÐÆ÷µÄÎÊÌâ
ÒѾÓÐ53È˻ظ´
ÑôÀë×Ó
Ìú¸Ëľ³æ (ÖøÃûдÊÖ)
- ECEPI: 1
- Ó¦Öú: 9 (Ó×¶ùÔ°)
- ½ð±Ò: 5554.5
- É¢½ð: 1000
- ºì»¨: 3
- Ìû×Ó: 2907
- ÔÚÏß: 765.5Сʱ
- ³æºÅ: 1041293
- ×¢²á: 2010-06-13
- ÐÔ±ð: GG
- רҵ: µç»¯Ñ§
2Â¥2010-12-27 20:29:59
ange8962559
½ð³æ (ÖøÃûдÊÖ)
- Ó¦Öú: 0 (Ó×¶ùÔ°)
- ½ð±Ò: 1329.8
- É¢½ð: 50
- ºì»¨: 1
- Ìû×Ó: 1044
- ÔÚÏß: 60.9Сʱ
- ³æºÅ: 718971
- ×¢²á: 2009-03-10
- ÐÔ±ð: GG
- רҵ: Äý¾Û̬ÎïÐÔ II £ºµç×ӽṹ
¡ï
Сľ³æ(½ð±Ò+0.5):¸ø¸öºì°ü£¬Ð»Ð»»ØÌû½»Á÷
Сľ³æ(½ð±Ò+0.5):¸ø¸öºì°ü£¬Ð»Ð»»ØÌû½»Á÷
| ÊǵçÁ÷Òç³ö£¬²»ÊÇÒ»Ñù£¬°ÑÁéÃô¶Èµ÷´óÒ»ÊýÁ¿¼¶ |

3Â¥2010-12-27 21:22:16
yuyanwife
ͳæ (ÖøÃûдÊÖ)
- Ó¦Öú: 1 (Ó×¶ùÔ°)
- ½ð±Ò: 108.7
- É¢½ð: 840
- ºì»¨: 3
- Ìû×Ó: 1200
- ÔÚÏß: 401.6Сʱ
- ³æºÅ: 244786
- ×¢²á: 2006-04-17
- ÐÔ±ð: GG
- רҵ: Ò©Îﻯѧ
4Â¥2010-12-27 21:22:21
yuyanwife
ͳæ (ÖøÃûдÊÖ)
- Ó¦Öú: 1 (Ó×¶ùÔ°)
- ½ð±Ò: 108.7
- É¢½ð: 840
- ºì»¨: 3
- Ìû×Ó: 1200
- ÔÚÏß: 401.6Сʱ
- ³æºÅ: 244786
- ×¢²á: 2006-04-17
- ÐÔ±ð: GG
- רҵ: Ò©Îﻯѧ
5Â¥2010-12-27 21:23:02
![]() ![]() ![]() ![]() ![]() ![]() |
6Â¥2010-12-28 08:41:46
ºÃºÃÉú»î
ľ³æ (ÖøÃûдÊÖ)
- Ó¦Öú: 4 (Ó×¶ùÔ°)
- ½ð±Ò: 2883.4
- É¢½ð: 67
- ºì»¨: 1
- Ìû×Ó: 1204
- ÔÚÏß: 351.2Сʱ
- ³æºÅ: 316003
- ×¢²á: 2007-03-03
- רҵ: µç»¯Ñ§
7Â¥2011-01-24 17:19:08
dajiangyou
ͳæ (СÓÐÃûÆø)
- Ó¦Öú: 5 (Ó×¶ùÔ°)
- ½ð±Ò: 97.3
- ºì»¨: 5
- Ìû×Ó: 201
- ÔÚÏß: 517.8Сʱ
- ³æºÅ: 861963
- ×¢²á: 2009-10-02
- רҵ: ¾¼ÃѧÆäËûѧ¿Æ
¡ï
Сľ³æ(½ð±Ò+0.5):¸ø¸öºì°ü£¬Ð»Ð»»ØÌû½»Á÷
Сľ³æ(½ð±Ò+0.5):¸ø¸öºì°ü£¬Ð»Ð»»ØÌû½»Á÷
|
Â¥Ö÷¼ÈÈ»ÊÇÀ´Çë½ÌÎÊÌâµÄ£¬»¹ÊÇÇ«ÐéµãºÃ¡£ ˳±ã˵һ¾ä£¬µ¥Æ¾ÄãËùνµÄƽºą̂½×£¬ÕâÎÄÕ¿ÉÒÔ·¢Science£¬ºÇºÇ¡£ |
8Â¥2011-01-27 13:07:22
bluern
ľ³æ (ÖøÃûдÊÖ)
- Ó¦Öú: 21 (СѧÉú)
- ½ð±Ò: 4500.8
- É¢½ð: 87
- ºì»¨: 7
- Ìû×Ó: 1708
- ÔÚÏß: 605.3Сʱ
- ³æºÅ: 433216
- ×¢²á: 2007-08-18
- ÐÔ±ð: GG
- רҵ: Í¿ÁÏ
9Â¥2011-01-27 17:14:35
xuyh_326
ľ³æ (ÖøÃûдÊÖ)
- Ó¦Öú: 57 (³õÖÐÉú)
- ½ð±Ò: 766.6
- É¢½ð: 99
- ºì»¨: 14
- Ìû×Ó: 1002
- ÔÚÏß: 191.7Сʱ
- ³æºÅ: 246274
- ×¢²á: 2006-04-29
- ÐÔ±ð: GG
- רҵ: µç»¯Ñ§
10Â¥2011-01-27 20:36:26














»Ø¸´´ËÂ¥
