| ²é¿´: 1857 | »Ø¸´: 5 | ||||
xmc212ľ³æ (ÕýʽдÊÖ)
|
[½»Á÷]
¡¾ÇóÖú¡¿transiestaºÍtbtransÖеĵçѹÓÐʲô²»Í¬ ÒÑÓÐ1È˲ÎÓë
|
|
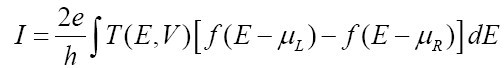
siesta³ÌÐò°üÖеÄtransiestaºÍtbtrans¶¼ÓеçѹѡÏTS.Voltage transiestaÔËÐеÄÄ¿µÄÊDzúÉúÉ¢ÉäÇøÓòµÄ.TSHSÎļþ£¬ÓÃÒÔtbtrans¼ÆËã ÒÔÏÂÊǼÆËãµÄµçÁ÷Öµ£º (1)transiesta TS.Voltage 0.0 eV tbtrans TS.Voltage 0.0 eV, I= 0.0 A tbtrans TS.Voltage 0.1 eV, I= 4.57078560E-14 A tbtrans TS.Voltage 1.0 eV, I= 1.67146015E-09 A (2)transiesta TS.Voltage 0.1 eV tbtrans TS.Voltage 0.0 eV, I= 0.0 A tbtrans TS.Voltage 0.1 eV, I= 4.56622327E-14 A (3)transiesta TS.Voltage 1.0 eV tbtrans TS.Voltage 0.0 eV, I= 0.0 A tbtrans TS.Voltage 1.0 eV, I= 1.61023936E-09 A ÎÞÂÛtransiesta¼Ó²»¼Óµçѹ£¬ÓÃtbtrans¼ÆËã³öÀ´µÄµçÁ÷Ïà²î¶¼ºÜС£¬0.1 eVµÄʱºòСÓÚ0.1%£¬1.0 eVµÄʱºòÔ¼4% tbtransÊÇʵ¼Ê¼ÓµçѹËãµçÁ÷µÄ£¬transiesta¼ÓµçѹµÄËùÓÃÊDz»Êǵõ½ÔÚ¼ÓµçѹÇé¿öϵÄHamiltonian£¿ ÁíÍ⣬ʵ¼Ê¼ÆËãÏÔʾÔÚÎó²î²»´óµÄÇé¿öÏ£¬transiestaÊDz»ÊǾͲ»ÓüӵçѹÁË£¬ËãÒ»¸ötransiestaÈ»ºóËã¶à¸ötbtrans£¿ лл£¡ |
» ÊÕ¼±¾ÌûµÄÌÔÌûר¼ÍƼö
µÚÒ»ÐÔÔÀí |
» ²ÂÄãϲ»¶
¸´ÊÔµ÷¼Á
ÒѾÓÐ7È˻ظ´
Ò»Ö¾Ô¸±±¾©»¯¹¤085600 310·ÖÇóµ÷¼Á
ÒѾÓÐ13È˻ظ´
085600£¬×¨Òµ¿Î»¯¹¤ÔÀí£¬320·ÖÇóµ÷¼Á
ÒѾÓÐ10È˻ظ´
288Çóµ÷¼Á
ÒѾÓÐ5È˻ظ´
0703»¯Ñ§321·ÖÇóµ÷¼Á
ÒѾÓÐ16È˻ظ´
318Çóµ÷¼Á
ÒѾÓÐ13È˻ظ´
Ò»Ö¾Ô¸ÄϺ½£¬ÊýһӢһѧ˶317Çóµ÷¼Á£¡£¡
ÒѾÓÐ5È˻ظ´
Ò»Ö¾Ô¸9²ÄÁÏѧ˶297ÒѹýÁù¼¶Çóµ÷¼ÁÍÆ¼ö
ÒѾÓÐ11È˻ظ´
085602µ÷¼Á ³õÊÔ×Ü·Ö335
ÒѾÓÐ5È˻ظ´
302·Ö 085601Çóµ÷¼ÁÍÆ¼ö
ÒѾÓÐ8È˻ظ´
» ±¾Ö÷ÌâÏà¹Ø¼ÛÖµÌùÍÆ¼ö£¬¶ÔÄúͬÑùÓаïÖú:
TRANSIESTA ¼Óƫѹºó E-T ÖеķÑÃ×Äܼ¶È·¶¨
ÒѾÓÐ4È˻ظ´
Transiesta/TBTrans¼ÆËã8ZGNRµÄ͸ÉäϵÊý²»ÕýÈ·
ÒѾÓÐ6È˻ظ´
transiesta ×óÓҵ缫ºÍÉ¢ÉäÇø ÊÇÔõôÁ¬½ÓÆðÀ´µÄ
ÒѾÓÐ6È˻ظ´
transiestaµÄ¼ÆËã
ÒѾÓÐ3È˻ظ´
Ôõô³ýȥʣÓàµÄTBSCl
ÒѾÓÐ5È˻ظ´
¡¾ÇóÖú¡¿Fermi energy = Fermi level ?
ÒѾÓÐ7È˻ظ´
vv_china
ͳæ (СÓÐÃûÆø)
- Ó¦Öú: 7 (Ó×¶ùÔ°)
- ½ð±Ò: 106.5
- É¢½ð: 731
- ºì»¨: 3
- Ìû×Ó: 242
- ÔÚÏß: 192Сʱ
- ³æºÅ: 957420
- ×¢²á: 2010-02-22
- רҵ: Äý¾Û̬ÎïÐÔ II £ºµç×ӽṹ
¡ï
cenwanglai(½ð±Ò+1):¹ÄÀøÐ³淢Ìù¡£Ä¾³æÆÚ´ýÄãµÄ¾«²Ê±íÏÖ£¡ 2010-08-19 13:25:07
cenwanglai(½ð±Ò+1):¹ÄÀøÐ³淢Ìù¡£Ä¾³æÆÚ´ýÄãµÄ¾«²Ê±íÏÖ£¡ 2010-08-19 13:25:07
| TS.Voltage ÊǸøTBTransʹÓõIJÎÊý£¬ËüµÄÖµÓ¦¸ÃºÍtransiestaµÄ¼ÆËãûÓйØÏµ¡£Â¥Ö÷¿ÉÒÔ×Ðϸ¶Á¶ÁÈí¼þÊֲᡣ |
2Â¥2010-08-19 12:12:13
xmc212
ľ³æ (ÕýʽдÊÖ)
- Ó¦Öú: 0 (Ó×¶ùÔ°)
- ½ð±Ò: 5741.5
- É¢½ð: 16
- Ìû×Ó: 422
- ÔÚÏß: 111.8Сʱ
- ³æºÅ: 501744
- ×¢²á: 2008-02-14
|
ллÄãµÄ»Ø´ð¡£´Ó½á¹û¿´À´£¬µçѹ¶Ôtransiesta¼ÆËãµÄÓ°ÏìȷʵºÜС£¬µ«²»ÊÇ0£¬²»ÖªµÀÊÇʲôÔÒò£¿ (1)˵Ã÷ÊéÉÏTS.VoltageÊÇtransiestaµÄÑ¡Ïî 8.7 TranSiesta Options 8.7.1 General options SolutionMethod TS.SaveHS TS.Voltage (2)Êä³öÎļþÏÔʾTS.VoltageÒ²ÊÇtransiestaµÄÑ¡Ïî ts_read_options: TranSIESTA Voltage = 0.1000 Volts ************************ * TRANSIESTA BEGIN * ************************ InitMesh: MESH = 64 x 128 x 80 = 655360 InitMesh: Mesh cutoff (required, used) = 100.000 108.298 Ry TSvoltage: Bias 0.100V |
3Â¥2010-08-19 15:36:59
zhangguangping
ľ³æ (ÖøÃûдÊÖ)
- 1STÇ¿Ìû: 23
- Ó¦Öú: 71 (³õÖÐÉú)
- ¹ó±ö: 0.031
- ½ð±Ò: 1973.1
- É¢½ð: 9059
- ºì»¨: 79
- Ìû×Ó: 2681
- ÔÚÏß: 2128.8Сʱ
- ³æºÅ: 529624
- ×¢²á: 2008-03-20
- ÐÔ±ð: GG
- רҵ: Ô×ӺͷÖ×ÓÎïÀí
¡ï ¡ï
cenwanglai(½ð±Ò+2):лл»Ø¸´£¡ 2010-08-19 17:16:24
xmc212(½ð±Ò+10): 2010-08-19 19:51:00
cenwanglai(½ð±Ò+2):лл»Ø¸´£¡ 2010-08-19 17:16:24
xmc212(½ð±Ò+10): 2010-08-19 19:51:00
|
²»ÖªµÀÄã¼ÆËãµÄÊÇÒ»¸öʲôÌåϵ£¬µ«ÊÇ¿ÉÒԿ϶¨µØËµ£¬transiestaµÄƫѹºÍtbtransµÄƫѹҪһÖ¡£ÔÚtransiesta¼ÆËãÖÐÊÇÓõ½TS.VoltageµÄ£¬ÖÁÓÚÓÃÀ´×öʲô£¬ÎÒ²»ºÃ˵£¬Ó¦ÎªÎÒ²»ÊǺÜÇå³þ£¬µ«ÊDz¢²»ÏóÂ¥ÉÏ˵µÄûÓйØÏµ¡£ÆðÂëHSÎļþÊÇÓëÆ«Ñ¹Óйصġ£²¢ÇÒ×óÓÒµÄGFÎļþÒ²ÊÇÆ«Ñ¹Ïà¹ØµÄ¡£Ö»ÄÜ˵£¬Äã²âÊÔµÄÄǸöÌåϵ¼ÓÉÏÆ«Ñ¹ºó£¬¶ÔtransiestaµÄ¼ÆËã½á¹ûûÓÐʲô´óµÄÓ°Ïì¡£Èç¹ûÕæµÄÊÇûÓйØÏµµÄ»°£¬Ó¦¸Ã³öÀ´µÄ½á¹ûÍêȫһÖ²ÅÊǶԵġ£ËùÒÔ»¹ÊÇÓйØÏµµÄ¡£Õâ¸ö½á¹ûÊÇÄãµÄÌåϵÔì³ÉµÄ¡£ |

4Â¥2010-08-19 16:07:21
vv_china
ͳæ (СÓÐÃûÆø)
- Ó¦Öú: 7 (Ó×¶ùÔ°)
- ½ð±Ò: 106.5
- É¢½ð: 731
- ºì»¨: 3
- Ìû×Ó: 242
- ÔÚÏß: 192Сʱ
- ³æºÅ: 957420
- ×¢²á: 2010-02-22
- רҵ: Äý¾Û̬ÎïÐÔ II £ºµç×ӽṹ
xmc212(½ð±Ò+10): 2010-08-19 19:51:30
|
Â¥ÉϱÈÎÒ¶Ôtransiesta¸üÊìϤ¡£ÎÒÖ»ÊǶÔÄãµÄ½á¹ûµÄ²Â²â£¬Ò²ÐíÆ«Ñ¹£¨¶ÔÌåϵ·ÑÃ×Äܼ¶£©µÄÓ°Ïìµ½ÁËTBTrans²Å»áÕýʽ¿¼ÂÇ¡£ÒòΪÄãµÄÄ£ÐÍ¼ÓÆ«Ñ¹ºóµÄµçÁ÷¼«Ð¡£¬½¨ÒéÄã»»¸öµ¼µçÐԺõÄÄ£ÐÍÔÙ×ö²âÊÔ¡£ ÎÒÔÚÊÖ²áÉÏÕÒµ½Ò»Ð©Ïà¹ØµÄÃèÊö£¬Äã¿ÉÒԲο¼£º TS.TBT.HSFile (string): Scattering region .TSHS file. Default value: SystemLabel.TSHS respectively for the left and right electrodes and the scattering region .TSHS file. The energy scale in tbtrans is shifted so that the Fermi level of the system, if no voltage were applied, is zero. When computing the transmission function of a zero bias calculation, the transmission at the Fermi level is then given by T(E=0). When there is a finite bias, the Fermi energy of the left electrode is placed at V/2, and that of the right electrode at -V/2. The voltage is specified by TS.Voltage. To summarize, here we give a list of the parameters read by tbtrans from the input file (the fdf flags): • TS.Voltage • kgrid Monkhorst Pack (block) • TS.HSFileLeft¡£¡£¡£¡£ |
5Â¥2010-08-19 18:12:37
zhangguangping
ľ³æ (ÖøÃûдÊÖ)
- 1STÇ¿Ìû: 23
- Ó¦Öú: 71 (³õÖÐÉú)
- ¹ó±ö: 0.031
- ½ð±Ò: 1973.1
- É¢½ð: 9059
- ºì»¨: 79
- Ìû×Ó: 2681
- ÔÚÏß: 2128.8Сʱ
- ³æºÅ: 529624
- ×¢²á: 2008-03-20
- ÐÔ±ð: GG
- רҵ: Ô×ӺͷÖ×ÓÎïÀí
¡ï
Сľ³æ(½ð±Ò+0.5):¸ø¸öºì°ü£¬Ð»Ð»»ØÌû
Сľ³æ(½ð±Ò+0.5):¸ø¸öºì°ü£¬Ð»Ð»»ØÌû

6Â¥2011-05-16 15:22:51














»Ø¸´´ËÂ¥