| 查看: 1285 | 回复: 5 | ||
| 【悬赏金币】回答本帖问题,作者该死的科研将赠送您 120 个金币 | ||
[求助]
两性离子聚合物的合成 已有1人参与
|
||
|
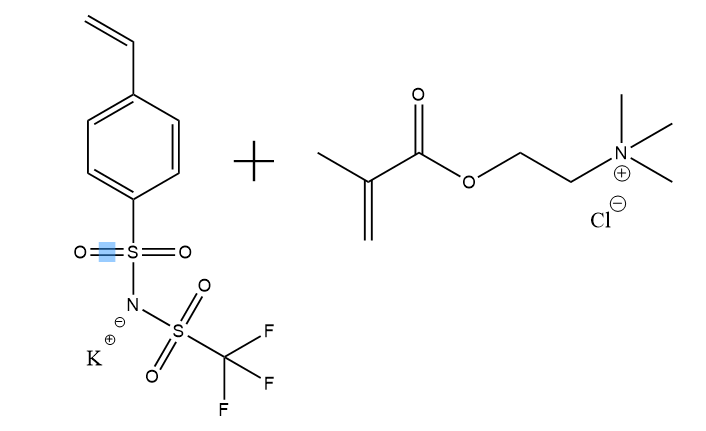
大佬们,如图,我想请教一下这两种物质做自由基聚合的话,理论上的结构是啥,双键打开后会不会与N负离子有作用? 我用的引发剂是AIBN,溶剂是氯仿,甲醇,THF也做过,但聚出来的物质是白色粉末状固体,不溶于水,实验室有的有机溶剂也不溶,像醇类,DMF, DMSO都不溶。 想请教一下是什么情况。跪谢! 1.png |
» 猜你喜欢
342求调剂
已经有3人回复
070300化学专业279调剂
已经有9人回复
求调剂:085600材料与化工,考材科基,总分319
已经有20人回复
一志愿华东理工大学,080500学硕,317分,求调剂
已经有9人回复
一志愿a区211,085601-307分求调剂
已经有23人回复
合肥区域性重点一本招收调剂
已经有8人回复
材料调剂
已经有10人回复
288求调剂 一志愿哈工大 材料与化工
已经有13人回复
材料科学与工程339求调剂
已经有3人回复
化学308分调剂
已经有11人回复
2楼2024-10-19 19:38:02
3楼2024-10-21 08:16:35
4楼2024-10-21 10:56:50
5楼2024-10-21 21:17:36
6楼2024-10-22 09:53:02














回复此楼