| ²é¿´: 1708 | »Ø¸´: 4 | ||
| ¡¾ÐüÉͽð±Ò¡¿»Ø´ð±¾ÌûÎÊÌ⣬×÷ÕßWuDXum½«ÔùËÍÄú 113 ¸ö½ð±Ò | ||
WuDXumгæ (³õÈëÎÄ̳)
|
[ÇóÖú]
ÕÒÁ˲ο¼ÎÄÏ×Ҳû½â³öÀ´£¬ÈçºÎÇó½â¶¨»ý·Ö£¿ËùÓнð±Ò·îÉÏ
|
|
|
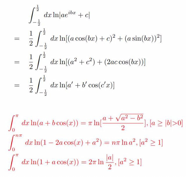
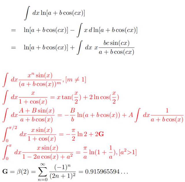
¸ßÊýÉÏÓиö¶¨»ý·ÖÒ»Ö±½â²»³öÀ´£¬ÌâÄ¿ÈçÏ£º @laosam280 ·¢×ÔСľ³æIOS¿Í»§¶Ë |
» ²ÂÄãϲ»¶
»¯Ñ§357·Ö£¬¿¼Ñе÷¼Á
ÒѾÓÐ6È˻ظ´
288»·¾³×¨Ë¶,Çóµ÷²ÄÁÏ·½Ïò
ÒѾÓÐ7È˻ظ´
315Çóµ÷¼Á
ÒѾÓÐ6È˻ظ´
325Çóµ÷¼Á
ÒѾÓÐ3È˻ظ´
Ò»Ö¾Ô¸µç×ӿƼ¼´óѧ085600²ÄÁÏÓ뻯¹¤ 329·ÖÇóµ÷¼Á
ÒѾÓÐ3È˻ظ´
0855Çóµ÷¼Á²ÄÁÏ
ÒѾÓÐ3È˻ظ´
358Çóµ÷¼Á
ÒѾÓÐ5È˻ظ´
333Çóµ÷¼Á
ÒѾÓÐ13È˻ظ´
085600µ÷¼Á
ÒѾÓÐ7È˻ظ´
0703»¯Ñ§
ÒѾÓÐ9È˻ظ´
WuDXum
гæ (³õÈëÎÄ̳)
- Ó¦Öú: 0 (Ó×¶ùÔ°)
- ½ð±Ò: 2
- Ìû×Ó: 42
- ÔÚÏß: 3.1Сʱ
- ³æºÅ: 30604237
- ×¢²á: 2022-08-15
- רҵ: Äý¾Û̬ÎïÐÔ II £ºµç×ӽṹ
2Â¥2024-10-07 01:51:59
lishouyin
Ìú¸Ëľ³æ (ÖøÃûдÊÖ)
- Ó¦Öú: 25 (СѧÉú)
- ½ð±Ò: 12773.3
- É¢½ð: 614
- ºì»¨: 10
- ɳ·¢: 1
- Ìû×Ó: 2824
- ÔÚÏß: 793.6Сʱ
- ³æºÅ: 1983857
- ×¢²á: 2012-09-07
- ÐÔ±ð: GG
- רҵ: µç·Óëϵͳ
3Â¥2024-10-07 02:38:48
bruckner
гæ (СÓÐÃûÆø)
- Ó¦Öú: 0 (Ó×¶ùÔ°)
- ½ð±Ò: 322.5
- Ìû×Ó: 151
- ÔÚÏß: 43.9Сʱ
- ³æºÅ: 22194003
- ×¢²á: 2020-05-20
- רҵ: ƫ΢·Ö·½³Ì
4Â¥2024-10-07 03:55:11
WuDXum
гæ (³õÈëÎÄ̳)
- Ó¦Öú: 0 (Ó×¶ùÔ°)
- ½ð±Ò: 2
- Ìû×Ó: 42
- ÔÚÏß: 3.1Сʱ
- ³æºÅ: 30604237
- ×¢²á: 2022-08-15
- רҵ: Äý¾Û̬ÎïÐÔ II £ºµç×ӽṹ
5Â¥2024-10-07 11:24:11














»Ø¸´´ËÂ¥