| 查看: 1028 | 回复: 1 | ||
| 【悬赏金币】回答本帖问题,作者jlyjlysjd将赠送您 20 个金币 | ||
[求助]
gmx current导出的dsp求电导率的问题
|
||
|
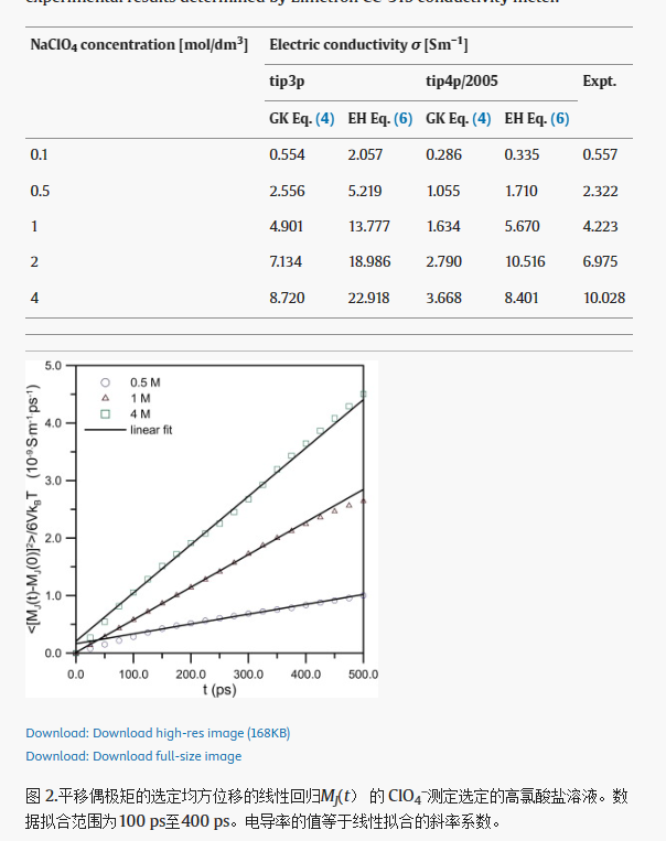
根据上面的这个公式,我使用gromacs中的gmx current 输出了dsp文件。里面包含了公式中dy/dt中的y函数,文件给出了y的单位是s/(ms·ps),按照文献上说的,只需要拟合数据,斜率就是电导率. 我查到了和我比较类型的一篇文献,和我使用相同量级和相同方法。 这是他的数据: 我把文献上的图片导入到origin里面进行拟合,结果拟合出来是1.78686e-12,但是文献上0.5m拟合出来表中是1.710. 我的疑问是:是不是从s·m-1·ps-1求导再求极限得到s/m有量级上的变化,而我没有乘呢? 我试着推导这一过程单位的变化,但是没有正确求出来。@smutao@oxox6085 |
» 猜你喜欢
290调剂生物0860
已经有41人回复
291求调剂
已经有3人回复
211本科材料化工求调剂
已经有23人回复
山东省基金2026
已经有9人回复
一志愿华中农业071010,320求调剂
已经有5人回复
药学求调剂
已经有13人回复
求调剂推荐
已经有4人回复
085400电子信息类(川大控制工程)求调剂可跨专业 求老师联系
已经有6人回复
材料工程281还有调剂机会吗
已经有42人回复
273求调剂
已经有6人回复
2楼2024-07-26 11:17:25














回复此楼