²é¿´: 841  |  »Ø¸´: 0
¡¾ÐüÉͽð±Ò¡¿»Ø´ð±¾ÌûÎÊÌ⣬×÷Õßdnjwwjkmd½«ÔùËÍÄú 15 ¸ö½ð±Ò

dnjwwjkmd

гæ (СÓÐÃûÆø)

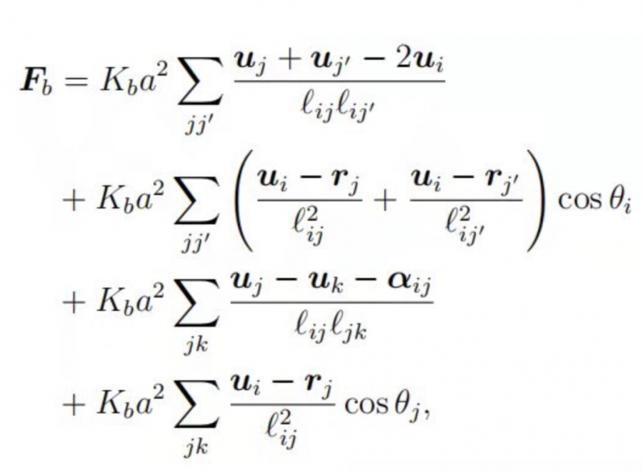
[ÇóÖú] ÒÑÖª¼ü½ÇÊÆÄܺÍÏà¹Ø²ÎÊý¶ÔλÖõÄÒ»½×Çóµ¼

¼ü½ÇÊÆÄܺÍÏà¹Ø²ÎÊýÈçǰÎåÕÅͼËùʾ£»Çó¼ü½ÇÊÆÄܶÔλÖÃuiµÄµ¼Êý£¬×îºóµÄ½á¹û·ÅÔÚͼÁù£¬µ«ÊDz»ÖªµÀÆäÖеÄÍÆµ¼¹ý³Ì£¬ÓÐûÓдóÀаïæ¿´¿´£¬Óг¥£¡£¡

ÒÑÖª¼ü½ÇÊÆÄܺÍÏà¹Ø²ÎÊý¶ÔλÖõÄÒ»½×Çóµ¼
½ØÆÁ2022-11-14 ÉÏÎç9.53.11.png


ÒÑÖª¼ü½ÇÊÆÄܺÍÏà¹Ø²ÎÊý¶ÔλÖõÄÒ»½×Çóµ¼-1
½ØÆÁ2022-11-14 ÉÏÎç9.53.20.png


ÒÑÖª¼ü½ÇÊÆÄܺÍÏà¹Ø²ÎÊý¶ÔλÖõÄÒ»½×Çóµ¼-2
½ØÆÁ2022-11-14 ÉÏÎç9.53.27.png


ÒÑÖª¼ü½ÇÊÆÄܺÍÏà¹Ø²ÎÊý¶ÔλÖõÄÒ»½×Çóµ¼-3
½ØÆÁ2022-11-14 ÉÏÎç9.53.34.png


ÒÑÖª¼ü½ÇÊÆÄܺÍÏà¹Ø²ÎÊý¶ÔλÖõÄÒ»½×Çóµ¼-4
½ØÆÁ2022-11-14 ÉÏÎç9.53.42.png


ÒÑÖª¼ü½ÇÊÆÄܺÍÏà¹Ø²ÎÊý¶ÔλÖõÄÒ»½×Çóµ¼-5
½ØÆÁ2022-11-14 ÉÏÎç9.53.47.png
»Ø¸´´ËÂ¥

» ²ÂÄãϲ»¶

ÒÑÔÄ   »Ø¸´´ËÂ¥   ¹Ø×¢TA ¸øTA·¢ÏûÏ¢ ËÍTAºì»¨ TAµÄ»ØÌû
Ïà¹Ø°æ¿éÌø×ª ÎÒÒª¶©ÔÄÂ¥Ö÷ dnjwwjkmd µÄÖ÷Ìâ¸üÐÂ
²»Ó¦Öú È·¶¨»ØÌûÓ¦Öú (×¢Ò⣺ӦÖú²Å¿ÉÄܱ»½±Àø£¬µ«²»ÔÊÐí¹àË®£¬±ØÐëÌîд15¸ö×Ö·ûÒÔÉÏ)
×î¾ßÈËÆøÈÈÌûÍÆ¼ö [²é¿´È«²¿] ×÷Õß »Ø/¿´ ×îºó·¢±í
[¿¼ÑÐ] ²ÄÁÏ 271Çóµ÷¼Á +3 Õ¹ÐÅÔÃ_ 2026-03-21 3/150 2026-03-21 10:17 by ÍõЦÓîÒ»¶¨ÊÇÑо
[¿¼ÑÐ] Ò»Ö¾Ô¸Î÷°²½»Í¨´óѧ²ÄÁϹ¤³Ìרҵ 282·ÖÇóµ÷¼Á +7 ·ãÇÅZL 2026-03-18 9/450 2026-03-21 09:56 by JineShine
[¿¼ÑÐ] 302Çóµ÷¼Á +11 ºôºôºô¡£¡£¡£¡£ 2026-03-17 11/550 2026-03-21 08:29 by JourneyLucky
[¿¼ÑÐ] Äϲý´óѧ²ÄÁÏר˶311·ÖÇóµ÷¼Á +6 77chaselx 2026-03-20 6/300 2026-03-21 07:24 by JourneyLucky
[¿¼ÑÐ] Ò»Ö¾Ô¸Ìì½ò´óѧ»¯Ñ§¹¤ÒÕרҵ£¨081702£©315·ÖÇóµ÷¼Á +12 yangfz 2026-03-17 12/600 2026-03-21 03:30 by JourneyLucky
[¿¼ÑÐ] 299Çóµ÷¼Á +6 ¡÷С͸Ã÷* 2026-03-17 6/300 2026-03-21 02:42 by JourneyLucky
[¿¼ÑÐ] Ò»Ö¾Ô¸ÖйúʯÓÍ´óѧ£¨»ª¶«£© ±¾¿ÆÆë³¹¤Òµ´óѧ +3 ʯÄÜΰ 2026-03-17 3/150 2026-03-21 02:22 by JourneyLucky
[¿¼ÑÐ] Çóµ÷¼Á +3 Ma_xt 2026-03-17 3/150 2026-03-21 02:05 by JourneyLucky
[¿¼ÑÐ] ¿¼Ñе÷¼ÁÇóÑ§Ð£ÍÆ¼ö +3 ²®ÀÖ29 2026-03-18 5/250 2026-03-20 22:59 by JourneyLucky
[¿¼ÑÐ] 287Çóµ÷¼Á +7 ³¿»èÏßÓëÐǺ£ 2026-03-19 8/400 2026-03-20 22:19 by JourneyLucky
[¿¼ÑÐ] Ò»Ö¾Ô¸ÖÐÄÏ»¯Ñ§£¨0703£©×Ü·Ö337Çóµ÷¼Á +8 niko- 2026-03-19 9/450 2026-03-20 21:57 by luoyongfeng
[ÂÛÎÄͶ¸å] ÉêÇë»Ø¸åÑÓÆÚÒ»¸öÔ£¬±à¼­Í¬ÒâÁË¡£µ«ÏµÍ³ÉϵÄʱ¼äû±ä£¬¸ø±à¼­ÓÖдÓʼþÁË£¬Ã»»Ø¸´ 10+3 wangf9518 2026-03-17 4/200 2026-03-19 23:55 by babero
[¿¼ÑÐ] 085601²ÄÁϹ¤³Ìר˶Çóµ÷¼Á +10 Ľº®mio 2026-03-16 10/500 2026-03-19 15:26 by ¶¡¶¡*
[¿¼ÑÐ] 266Çóµ÷¼Á +5 ÑôÑôÍÛÈû 2026-03-14 10/500 2026-03-19 15:08 by ÑôÑôÍÛÈû
[¿¼ÑÐ] ¡¾Í¬¼ÃÈí¼þ¡¿Èí¼þ£¨085405£©¿¼ÑÐÇóµ÷¼Á +3 2026eternal 2026-03-18 3/150 2026-03-18 19:09 by ²«»÷518
[¿¼ÑÐ] ÊÕ¸´ÊÔµ÷¼ÁÉú +4 ÓêºóÇïºÉ 2026-03-18 4/200 2026-03-18 14:16 by elevennnne
[¿¼ÑÐ] 301Çóµ÷¼Á +4 A_JiXing 2026-03-16 4/200 2026-03-17 17:32 by ruiyingmiao
[¿¼ÑÐ] 085601Çóµ÷¼Á +4 Du.11 2026-03-16 4/200 2026-03-17 17:08 by ruiyingmiao
[¿¼ÑÐ] 302Çóµ÷¼Á +4 С¼Öͬѧ123 2026-03-15 8/400 2026-03-17 10:33 by С¼Öͬѧ123
[¿¼ÑÐ] 0856Çóµ÷¼Á +3 ÁõÃÎ΢ 2026-03-15 3/150 2026-03-16 10:00 by houyaoxu
ÐÅÏ¢Ìáʾ
ÇëÌî´¦ÀíÒâ¼û