| 查看: 802 | 回复: 2 | ||
| 【悬赏金币】回答本帖问题,作者CHEny的将赠送您 20 个金币 | ||
[求助]
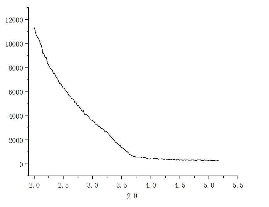
为什么我XRD试验小角度的强度特别的高啊? 已有1人参与
|
||
|
我用jade物相分析能在3度左右检测出我想要的物质,但是却在这个角度看不到衍射峰了 @lich666 @jackdeng 发自小木虫Android客户端 |
» 猜你喜欢
【2026 考研调剂】哈尔滨工程大学核科学与技术学院核化工系 招收调剂生
已经有1人回复
广州大学环境大分子材料研究所2026年研究生招生简章
已经有0人回复
无机化学论文润色/翻译怎么收费?
已经有92人回复
武汉纺织大学技术研究院招收化学、生物、材料、纺织、机械等专业调剂生
已经有0人回复
台州学院有序多孔材料团队化学、材料与化工硕士招生,请速联系!
已经有0人回复
首都师范大学化学系田洋课题组专硕招调剂生
已经有9人回复
广州大学大湾区环境研究院环境大分子材料研究所王平山教授团队 2026年研究生招生简章
已经有0人回复
广州大学大湾区环境研究院环境大分子材料研究所王平山教授团队 2026年研究生招生简章
已经有0人回复
天津理工大学
已经有0人回复
首都师范大学化学系招收2026专硕调剂生
已经有0人回复
SAFEEEE
木虫 (正式写手)
- 应助: 30 (小学生)
- 金币: 4343.5
- 红花: 23
- 帖子: 503
- 在线: 202.4小时
- 虫号: 13186409
- 注册: 2018-12-21
- 性别: GG
- 专业: 配位化学
2楼2022-07-18 11:40:54
3楼2022-07-19 09:03:04














回复此楼
10