| ²é¿´: 474 | »Ø¸´: 0 | ||
| ¡¾ÐüÉͽð±Ò¡¿»Ø´ð±¾ÌûÎÊÌ⣬×÷Õßcjyadq½«ÔùËÍÄú 5 ¸ö½ð±Ò | ||
cjyadqÌú³æ (³õÈëÎÄ̳)
|
[ÇóÖú]
¹²¾Û¾Û̼Ëáõ¥µÄ´¢´æÄ£Á¿ºÍËðºÄÄ£Á¿ÎÊÌâ
|
|
|
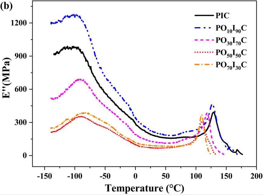
²ÉÓõÚÈýµ¥Ìå¶Ô¾Û̼Ëáõ¥½øÐÐÁ˹²¾Û¸ÄÐÔ£¬µ«Î´¸ÄÐÔÑùÆ·PICµÄ´¢ÄÜÄ£Á¿ºÍËðºÄÄ£Á¿²¢²»ÊÇ×î¸ßµÄ£¬¶øÊǽéÓÚ¹²¾Û±ÈÀýΪ10%Óë30%µÄÑùÆ·Ö®¼ä£¬ÕâÊÇʲôÔÒòÄØ£¿ ·¢×ÔСľ³æAndroid¿Í»§¶Ë |
» ²ÂÄãϲ»¶
297Çóµ÷¼Á
ÒѾÓÐ16È˻ظ´
326·Ö£¬Ò»Ö¾Ô¸»¦9£¬ÇóÉúÎïѧµ÷¼Á
ÒѾÓÐ4È˻ظ´
288Çóµ÷¼Á£¬Ò»Ö¾Ô¸»ªÄÏÀí¹¤´óѧ071005
ÒѾÓÐ3È˻ظ´
304Çóµ÷¼Á
ÒѾÓÐ13È˻ظ´
µ÷¼Á
ÒѾÓÐ18È˻ظ´
293µ÷¼Á
ÒѾÓÐ4È˻ظ´
338Çóµ÷¼Á
ÒѾÓÐ7È˻ظ´
263Çóµ÷¼Á
ÒѾÓÐ3È˻ظ´
Çóµ÷¼Á
ÒѾÓÐ15È˻ظ´
»úе¹¤³Ì264ѧ˶Çóµ÷¼Á
ÒѾÓÐ3È˻ظ´














»Ø¸´´ËÂ¥