| 查看: 1626 | 回复: 7 | |||
| 【悬赏金币】回答本帖问题,作者yszheng将赠送您 22 个金币 | |||
[求助]
Siesta 分子动力学模拟,10x10x10的盒子里将氢分子旋转90度,控温效果为什么会不同?
|
|||
|
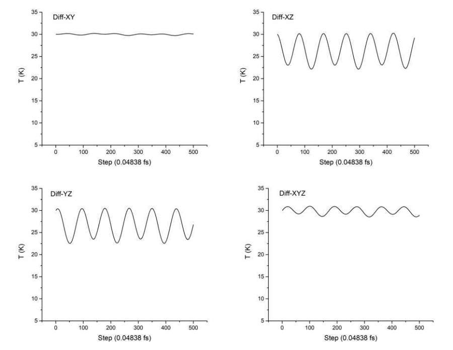
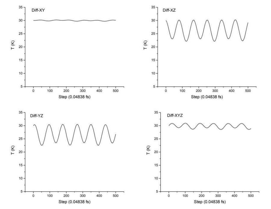
在10x10x10的盒子里,做单个H2分子动力学模拟,目标温度为30k。在input.fdf文件里只改变了H2的坐标(键长不变,仅仅旋转一定角度),控温效果却完全不同: 两个氢原子沿着y方向,温度在8到31 k范围内波动;旋转为沿着z方向,温度在28到31 k范围内波动。我用了不同的热浴方法,结果差不多。单个水分子也存在这种情况。有哪位大佬知道是什么原因? 发自小木虫Android客户端 |
» 猜你喜欢
博士读完未来一定会好吗
已经有21人回复
导师想让我从独立一作变成了共一第一
已经有5人回复
到新单位后,换了新的研究方向,没有团队,持续积累2区以上论文,能申请到面上吗
已经有11人回复
读博
已经有4人回复
JMPT 期刊投稿流程
已经有4人回复
心脉受损
已经有5人回复
Springer期刊投稿求助
已经有4人回复
小论文投稿
已经有3人回复
Bioresource Technology期刊,第一次返修的时候被退回好几次了
已经有9人回复
申请2026年博士
已经有6人回复
» 本主题相关商家推荐: (我也要在这里推广)
卡开发发
专家顾问 (著名写手)
Ab Initio Amateur
-

专家经验: +224 - 1ST强帖: 2
- 应助: 47 (小学生)
- 金币: 3484.8
- 散金: 14
- 红花: 223
- 帖子: 2477
- 在线: 1253.7小时
- 虫号: 1369423
- 注册: 2011-08-16
- 性别: GG
- 专业: 金属材料的磨损与磨蚀
- 管辖: 第一性原理

2楼2021-05-12 00:42:15
3楼2021-05-14 09:09:54
4楼2021-05-14 09:14:39
卡开发发
专家顾问 (著名写手)
Ab Initio Amateur
-

专家经验: +224 - 1ST强帖: 2
- 应助: 47 (小学生)
- 金币: 3484.8
- 散金: 14
- 红花: 223
- 帖子: 2477
- 在线: 1253.7小时
- 虫号: 1369423
- 注册: 2011-08-16
- 性别: GG
- 专业: 金属材料的磨损与磨蚀
- 管辖: 第一性原理

5楼2021-05-14 09:53:30
|
k点密度不影响能量和力。但旋转前后力是不一样的。第一张是diffy(两个氢原子仅y不同),第二张是diff-xyz(两个氢原子xyz都不同)(键长一致)。diff-y的两个氢原子y方向受力要比diff-xyz的大许多。此外我还用vasp测试,氢分子旋转前后温度波动也是有很大差异的! 发自小木虫Android客户端 |
6楼2021-05-14 15:45:44
7楼2021-05-14 15:46:41
8楼2021-05-14 15:54:18













回复此楼
