±±¾©Ê¯ÓÍ»¯¹¤Ñ§Ôº2026ÄêÑо¿ÉúÕÐÉú½ÓÊÕµ÷¼Á¹«¸æ
²é¿´: 1650  |  »Ø¸´: 0

ÒàÊéÒàÇä

гæ (³õÈëÎÄ̳)

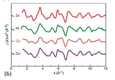
[½»Á÷] EXAFSͼÆ×Ôõô·ÖÎö°¡£¬Çó´óÉñÖ¸µ¼

¶Ô±ÈµÄʱºò¿´µÄÊÇ·åµÄλÖû¹ÊÇÇ¿¶È£¬¶¼ÄÜ·ÖÎö³öʲôÐÅÏ¢ÄØ£¿Ð»Ð»À²

EXAFSͼÆ×Ôõô·ÖÎö°¡£¬Çó´óÉñÖ¸µ¼
68be3291125c67a8ca9aa2c3c5ba6a3.png
»Ø¸´´ËÂ¥
ÒÑÔÄ   »Ø¸´´ËÂ¥   ¹Ø×¢TA ¸øTA·¢ÏûÏ¢ ËÍTAºì»¨ TAµÄ»ØÌû
Ïà¹Ø°æ¿éÌø×ª ÎÒÒª¶©ÔÄÂ¥Ö÷ ÒàÊéÒàÇä µÄÖ÷Ìâ¸üÐÂ
×î¾ßÈËÆøÈÈÌûÍÆ¼ö [²é¿´È«²¿] ×÷Õß »Ø/¿´ ×îºó·¢±í
[¿¼ÑÐ] 315·Ö 085602 Çóµ÷¼Á +5 26¿¼ÑÐÉϰ¶°æ26 2026-04-02 5/250 2026-04-02 19:06 by hxwb99
[¿¼ÑÐ] Ò»Ö¾Ô¸»ª¶«Àí¹¤´óѧ£¬080500ѧ˶£¬317·Ö£¬Çóµ÷¼Á +13 s1145 2026-03-31 14/700 2026-04-02 18:55 by ŶŶàŹþ
[¿¼ÑÐ] ѧ˶»¯Ñ§¹¤³ÌÓë¼¼Êõ£¬Ò»Ö¾Ô¸Öйúº£Ñó´óѧ320+Çóµ÷¼Á +8 ÅûÐÇºÓ 2026-04-02 8/400 2026-04-02 14:12 by oooqiao
[¿¼ÑÐ] ³õÊÔ301£¬´úÂë085701»·¾³¹¤³Ì£¬±¾Ë¶Ò»Ö£¬ËÄÁù¼¶Òѹý£¬ÓжþÇøÒ»×÷£¬¹²·¢±í5ƪÂÛÎÄ +6 axibli 2026-04-01 6/300 2026-04-02 13:42 by Ecowxq666£¡
[¿¼ÑÐ] 08¿ªÍ·¿´¹ýÀ´£¡£¡£¡ +4 wwwwffffff 2026-03-31 6/300 2026-04-02 11:42 by ¾ùÖµ»Ø¹é
[¿¼ÑÐ] 343Çóµ÷¼Á085601 +4 ҪŬÁ¦Ñ§Ï°x 2026-03-29 5/250 2026-04-02 09:01 by xuhui0306
[¿¼ÑÐ] ²ÄÁÏר˶µ÷¼Á +17 Ò¬Ò¬¡£ 2026-03-29 17/850 2026-04-01 20:44 by cq2548
[¿¼ÑÐ] 320·Ö£¬²ÄÁÏÓ뻯¹¤×¨Òµ£¬Çóµ÷¼Á +14 Ò»¶¨Éϰ¶aaa 2026-03-27 18/900 2026-04-01 20:10 by »ý¼«µ÷¼ÁµÄСѧÉ
[¿¼ÑÐ] 303·Ö 0807ѧ˶Çóµ÷¼Á +3 TYC3632 2026-04-01 3/150 2026-04-01 19:24 by lwk2004
[¿¼ÑÐ] 0703Ò»Ö¾Ô¸ÄÏʦ´ó334Çóµ÷¼Á +4 seven7yu 2026-03-30 4/200 2026-04-01 16:10 by oooqiao
[¿¼ÑÐ] 318Ò»Ö¾Ô¸¼ªÁÖ´óѧÉúÎïÓëÒ½Ò© Çóµ÷¼Á +6 óÆÐÐÖÂÔ¶. 2026-03-28 6/300 2026-04-01 09:28 by oooqiao
[¿¼ÑÐ] 080200ѧ˶£¬»úе¹¤³Ìרҵ277·Ö£¬Çó´ø×ߣ¡ +4 Æ¿×ÓPZ 2026-03-31 4/200 2026-03-31 20:16 by vgtyfty
[¿¼ÑÐ] 346Çóµ÷¼Á Ò»Ö¾Ô¸070303Óлú»¯Ñ§ +11 Âܲ·ìÀÇà²Ë 2026-03-28 12/600 2026-03-31 17:54 by xhai2011
[¿¼ÑÐ] 254²ÄÁÏÓ뻯¹¤Çóµ÷¼Á +3 º²¶¬ÁÖéª 2026-03-30 4/200 2026-03-31 17:53 by yishunmin
[¿¼ÑÐ] ²ÄÁÏÓ뻯¹¤272Çóµ÷¼Á +25 °¢Ë¹µÙ·Ò2004 2026-03-28 25/1250 2026-03-31 16:27 by hypershenger
[¿¼ÑÐ] 085404 22408 315·Ö +5 zhuangyan123 2026-03-31 6/300 2026-03-31 13:48 by limeifeng
[¿¼ÑÐ] Ò»Ö¾Ô¸´óÁ¬Àí¹¤´óѧ£¬»úе¹¤³Ìѧ˶£¬341 +3 Î÷¹ÏÌïµÄÊØÍûÕß 2026-03-30 3/150 2026-03-31 11:08 by asdfzly
[¿¼ÑÐ] 298Çóµ÷¼Á +4 ÖÖÊ¥´Í 2026-03-28 4/200 2026-03-29 08:42 by q1092522407
[¿¼ÑÐ] ±¾¿ÆÐÂÄÜÔ´¿ÆÑ§Ó빤³Ì£¬Ò»Ö¾Ô¸»ªÀíÄܶ¯285Çóµ÷¼Á +3 AZMK 2026-03-27 5/250 2026-03-28 16:19 by xxxsssccc
[¿¼ÑÐ] 085405 ¿¼µÄ11408Çó¸÷λÀÏʦ´ø×ß +3 Qiuѧing 2026-03-28 3/150 2026-03-28 09:19 by ÀֺǺǵÄ×·ÃÎÈË
ÐÅÏ¢Ìáʾ
ÇëÌî´¦ÀíÒâ¼û