24小时热门版块排行榜    

Znn3bq.jpeg
查看: 3422  |  回复: 0
【悬赏金币】回答本帖问题,作者Ayisha_L将赠送您 5 个金币

Ayisha_L

铁虫 (初入文坛)

[求助] 关于硫氢化钠作为供体生成硫化氢的一些小问题

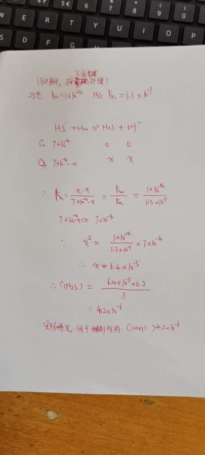
经查阅文献,已知在3L干燥容器中,采用200mL、0.7mmol/L的NaHS溶液,产生0.3×10^10mol/L的H2S气体。
想求助:H2S的浓度是如何得出的?
大致思路是通过水解平衡常数计算,NaHS+H2O=H2S+NaOH
常温下,水的电离平衡常数Kw=1×10^-14,H2S的电离平衡常数Ka=1.3×10^-7,故硫氢根离子的水解平衡常数Kb=Kw/Ka=7.7×10^-8
接下来应该如何计算,求大佬指教,多谢多谢
并且如图所示,是一位老师计算所得,觉得思路是对的,但结果却不对,想请求指导,是哪里出了问题

关于硫氢化钠作为供体生成硫化氢的一些小问题
一位老师的计算思路
回复此楼
已阅   回复此楼   关注TA 给TA发消息 送TA红花 TA的回帖
相关版块跳转 我要订阅楼主 Ayisha_L 的主题更新
不应助 确定回帖应助 (注意:应助才可能被奖励,但不允许灌水,必须填写15个字符以上)
最具人气热帖推荐 [查看全部] 作者 回/看 最后发表
[基金申请] 评审有感 +15 popular289 2026-05-18 26/1300 2026-05-21 10:35 by 西葫芦炒鸡蛋
[论文投稿] 投稿求助,期刊 +3 希冀,有书读 2026-05-20 3/150 2026-05-21 10:12 by xs74101122
[基金申请] 提交了我也来说说感想 +7 fummck 2026-05-20 8/400 2026-05-21 09:39 by 2000zf36392
[论文投稿] Sci. Bull. 悲剧经验 +7 jyang1999 2026-05-16 8/400 2026-05-21 08:50 by 能丫
[基金申请] 河北省自然科学基金 +4 Peterchao 2026-05-18 4/200 2026-05-21 08:17 by articlefan
[论文投稿] 投MDPI的三个期刊都被桌拒 +3 木虫研究牲 2026-05-17 4/200 2026-05-21 08:02 by bobvan
[文学芳草园] 献血感触 +7 呀呀好傻 2026-05-19 12/600 2026-05-21 07:08 by maolC
[有机交流] 反应很差,大量原料没有反应 5+3 Mr.Zot 2026-05-19 8/400 2026-05-20 22:19 by Equinoxhua
[基金申请] 面上本子正文33页,违规吗?会被低分嘛? +11 1234567wang 2026-05-17 13/650 2026-05-20 18:55 by tanfancy
[基金申请] 国自然评分 +3 无名者登山 2026-05-20 4/200 2026-05-20 13:29 by vito刘
[考博] 如果工作了想读博,可以边工作边读全日制嘛? 30+3 铁达火车 2026-05-18 5/250 2026-05-20 09:33 by tfang
[有机交流] 如何实现卤原子转化 +3 BT20230424 2026-05-15 8/400 2026-05-20 09:32 by xtlilibin
[教师之家] 上海大学实验技术岗位非升即走 +12 嘻嘻哈哈乐呵呵 2026-05-15 13/650 2026-05-20 08:34 by xli1984
[基金申请] 2026山东省优青 +3 luckinging 2026-05-14 4/200 2026-05-19 16:15 by 52wls
[考博] 找博士生导师 +6 小代想上岸 2026-05-15 7/350 2026-05-19 10:22 by free_fisher
[考博] 2026博士还有哪些学校有名额 +7 小王求读研 2026-05-15 8/400 2026-05-19 08:27 by zhyzzh
[考博] 博士申请 +5 星…… 2026-05-18 6/300 2026-05-18 23:49 by 糊糊涂涂好
[硕博家园] 我在等一个没有答案的答案 +3 Love_MH 2026-05-17 3/150 2026-05-18 02:22 by 竹林孤影
[文学芳草园] 半夜喝咖啡 +3 myrtle 2026-05-15 5/250 2026-05-18 01:03 by 小沈2018
[硕博家园] 申请博士 +3 呃?呃 2026-05-15 3/150 2026-05-16 11:01 by a4742549
信息提示
请填处理意见