24小时热门版块排行榜    

Znn3bq.jpeg
查看: 954  |  回复: 0
【悬赏金币】回答本帖问题,作者灬猫熊''将赠送您 5 个金币

灬猫熊''

铁虫 (小有名气)

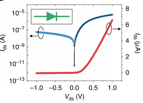
[求助] 这个图的整流系数怎么计算?

整流系数是什么?
这个图的整流系数是多少?是怎么看出来或者计算出来的呢?

这个图的整流系数怎么计算?
微信截图_20200925154901.png
回复此楼
世界很小,而你刚好发光
已阅   回复此楼   关注TA 给TA发消息 送TA红花 TA的回帖
相关版块跳转 我要订阅楼主 灬猫熊'' 的主题更新
不应助 确定回帖应助 (注意:应助才可能被奖励,但不允许灌水,必须填写15个字符以上)
最具人气热帖推荐 [查看全部] 作者 回/看 最后发表
[基金申请] 今年审到国自然15份,谈谈感受 +15 国自然国社科中 2026-05-17 15/750 2026-05-18 14:17 by 能丫
[教师之家] 上海大学实验技术岗位非升即走 +8 嘻嘻哈哈乐呵呵 2026-05-15 8/400 2026-05-18 11:53 by ning312
[基金申请] 青C资助名额大幅增加! +12 西葫芦炒鸡蛋 2026-05-13 16/800 2026-05-18 10:02 by Equinoxhua
[文学芳草园] 半夜喝咖啡 +3 myrtle 2026-05-15 5/250 2026-05-18 01:03 by 小沈2018
[找工作] 售SCI一区T0P文章,我:8.O.5.5.1.O.5.4,科目齐全,可+急 +4 ky2p12rrjj 2026-05-15 4/200 2026-05-17 19:47 by Equinoxhua
[公派出国] 售SCI一区T0P文章,我:8.O.5.5.1.O.5.4,科目齐全,可+急 +4 v9tggjlwd0 2026-05-15 5/250 2026-05-17 18:39 by Equinoxhua
[考博] 2026博士还有哪些学校有名额 +6 小王求读研 2026-05-15 7/350 2026-05-17 16:54 by 知音湖畔
[基金申请] 这年头没有找到涵评专家,还有中面上的可能吗 +13 dd921ww 2026-05-12 16/800 2026-05-17 12:38 by 于轩
[硕博家园] 售SCI一区T0P文章,我:8.O.5.5.1.O.5.4,科目齐全,可+急 +4 v9tggjlwd0 2026-05-15 4/200 2026-05-17 08:06 by 11n4dfd8yn
[找工作] 售SCI一区T0P文章,我:8.O.5.5.1.O.5.4,科目齐全,可+急 +3 l7k6xnh0yc 2026-05-14 6/300 2026-05-17 07:31 by 11n4dfd8yn
[公派出国] 售SCI一区T0P文章,我:8.O.5.5.1.O.5.4,科目齐全,可+急 +6 l7k6xnh0yc 2026-05-14 6/300 2026-05-17 07:16 by 11n4dfd8yn
[硕博家园] 售SCI一区T0P文章,我:8.O.5.5.1.O.5.4,科目齐全,可+急 +5 cjf4bx70cj 2026-05-14 7/350 2026-05-17 06:55 by 11n4dfd8yn
[找工作] 售SCI一区T0P文章,我:8.O.5.5.1.O.5.4,科目齐全,可+急 +3 k37jurhrau 2026-05-16 3/150 2026-05-17 01:37 by ue3ir18jc3
[考博] 售SCI一区T0P文章,我:8.O.5.5.1.O.5.4,科目齐全,可+急 +3 ky2p12rrjj 2026-05-15 4/200 2026-05-17 00:57 by ue3ir18jc3
[公派出国] 售SCI一区T0P文章,我:8.O.5.5.1.O.5.4,科目齐全,可+急 +3 x0mp7owy2b 2026-05-15 4/200 2026-05-17 00:35 by ue3ir18jc3
[考研] 售SCI一区T0P文章,我:8.O.5.5.1.O.5.4,科目齐全,可+急 +4 x0mp7owy2b 2026-05-15 4/200 2026-05-17 00:25 by ue3ir18jc3
[基金申请] 请问大佬b0816评完了吗 +4 市民华南虎 2026-05-12 8/400 2026-05-16 19:54 by Equinoxhua
[有机交流] 求有机合成大神指点三硫酸乙烯酯(CAS:2793408-99-6)的合成路线 30+3 Leekmid 2026-05-13 10/500 2026-05-16 16:37 by czyzsu
[硕博家园] 售SCI一区T0P文章,我:8.O.5.5.1.O.5.4,科目齐全,可+急 +3 k37jurhrau 2026-05-16 3/150 2026-05-16 13:57 by vcdazktkjx
[论文投稿] 求助大佬sci投稿哪个好中 +3 江沅188 2026-05-12 4/200 2026-05-13 14:35 by 江沅188
信息提示
请填处理意见