版块导航
正在加载中...
客户端APP下载
论文辅导
申博辅导
登录
注册
帖子
帖子
用户
本版
应《网络安全法》要求,自2017年10月1日起,未进行实名认证将不得使用互联网跟帖服务。为保障您的帐号能够正常使用,请尽快对帐号进行手机号验证,感谢您的理解与支持!
24小时热门版块排行榜
>
论坛更新日志
(3727)
>
虫友互识
(750)
>
文献求助
(217)
>
导师招生
(203)
>
休闲灌水
(89)
>
硕博家园
(78)
>
考博
(62)
>
博后之家
(55)
>
论文投稿
(48)
>
招聘信息布告栏
(41)
>
基金申请
(25)
>
考研
(25)
>
SciFinder/Reaxys
(24)
>
论文道贺祈福
(24)
>
教师之家
(20)
>
催化
(20)
小木虫论坛-学术科研互动平台
»
专业学科区
»
数学
»
考博考研
»
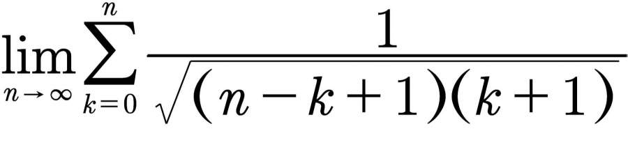
一道极限题
5
2/1
返回列表
查看: 3061 | 回复: 113
只看楼主
@他人
存档
新回复提醒
(忽略)
收藏
在APP中查看
当前只显示满足指定条件的回帖,点击这里查看本话题的所有回帖
CPYHH
金虫
(著名写手)
应助: 0
(幼儿园)
金币: 8659.8
帖子: 1840
在线: 10.4小时
虫号: 15802086
已领完
一道极限题
领取红包
(小木虫手机app专属红包)
扫一扫,下载小木虫客户端
求解一道极限题如图
发自小木虫Android客户端
回复此楼
» 猜你喜欢
要不要辞职读博?
已经有6人回复
实验室接单子
已经有3人回复
不自信的我
已经有10人回复
磺酰氟产物,毕不了业了!
已经有8人回复
求助:我三月中下旬出站,青基依托单位怎么办?
已经有10人回复
26申博(荧光探针方向,有机合成)
已经有4人回复
论文终于录用啦!满足毕业条件了
已经有26人回复
2026年机械制造与材料应用国际会议 (ICMMMA 2026)
已经有4人回复
Cas 72-43-5需要30g,定制合成,能接单的留言
已经有8人回复
北京211副教授,35岁,想重新出发,去国外做博后,怎么样?
已经有8人回复
高级回复
» 抢金币啦!回帖就可以得到:
查看全部散金贴
南京工业大学城市建设学院招收建筑节能方向2026年入学全日制博士
+
2
/100
原子层沉积(ALD)磁控溅射PECVD等微纳代工服务:18817872921
+
1
/88
真诚找对象
+
1
/85
DNA甲基化位点定量试剂盒(qPCR版)-适合特定基因位点5mC定量检测
+
1
/84
浙江师范大学国家杰青杨启华教授团队招收2026年博士研究生
+
1
/83
上海大学昝鹏教授、军事医学研究院伯晓晨研究员/倪铭副研究员 课题组招聘博士生
+
1
/80
深圳大学材料学院黄妍斐教授课题组诚招2026年秋季入学博士生
+
1
/78
成都理工大学全国重点实验室公开诚聘绿色有机合成方向联培生及科研助理
+
1
/76
澳门大学智慧城市物联网国重“结构智能感知、健康监测与无损检测”研究方向博士后招聘
+
1
/76
中科院长春光机所 招收计算材料学博士/硕士研究生(含机器学习辅助材料设计方向)
+
1
/73
希望你在这里
+
1
/62
国重点实验室双一流A类长江学者团队招2026年全日制博士1-2名/博后1-2名
+
2
/34
SCI,计算机相关可以写
+
1
/21
SCI,计算机相关可以写
+
1
/21
吉林大学材料物理本科生求问调剂信息
+
1
/11
中科院深圳理工大学网络课题组招聘博后/RA/实习生
+
1
/7
中国科学院大学-杨晗课题组-诚聘-博士后、副研究员
+
1
/5
美国麻省大学电子工程系招收全奖博士生和博士后
+
1
/3
南京林业大学 国家级人才团队 招收 生物信息学和生物学相关专业2026级博士生3-4名
+
1
/3
土木、交通工程专业博士后站有吗?(无博士毕业3年要求+可接受兼职博后)
+
1
/1
1楼
2020-08-21 22:17:32
已阅
回复此楼
关注TA
给TA发消息
送TA红花
TA的回帖
理想散函
新虫
(小有名气)
应助: 0
(幼儿园)
金币: 496
帖子: 110
在线: 2.7小时
虫号: 26439843
结果=1,
发自小木虫Android客户端
回复此楼
高级回复
114楼
2021-08-08 10:54:22
已阅
回复此楼
关注TA
给TA发消息
送TA红花
TA的回帖
查看全部 114 个回答
简单回复
秋土豆香
2楼
2020-08-21 22:39
回复
CPYHH(金币+1): 谢谢参与
已获得
1
个金币
发自小木虫Android客户端
fingerlake
3楼
2020-08-21 22:51
回复
CPYHH(金币+1): 谢谢参与
已获得
1
个金币
发自小木虫IOS客户端
tzynew
4楼
2020-08-21 23:02
回复
CPYHH(金币+1): 谢谢参与
已获得
1
个金币
发自小木虫Android客户端
wdmzhang
5楼
2020-08-21 23:15
回复
CPYHH(金币+1): 谢谢参与
已获得
1
个金币
发自小木虫Android客户端
478555642
6楼
2020-08-21 23:15
回复
CPYHH(金币+1): 谢谢参与
已获得
1
个金币
发自小木虫Android客户端
hollya
7楼
2020-08-21 23:53
回复
CPYHH(金币+1): 谢谢参与
已获得
1
个金币
发自小木虫IOS客户端
大虫147
8楼
2020-08-22 02:12
回复
CPYHH(金币+1): 谢谢参与
已获得
1
个金币
发自小木虫Android客户端
5253709
9楼
2020-08-22 02:33
回复
CPYHH(金币+1): 谢谢参与
已获得
1
个金币
发自小木虫Android客户端
塞北先生
10楼
2020-08-22 04:47
回复
CPYHH(金币+1): 谢谢参与
已获得
1
个金币
发自小木虫Android客户端
nono2009
11楼
2020-08-22 05:34
回复
CPYHH(金币+1): 谢谢参与
已获得
1
个金币
发自小木虫Android客户端
bodygb
12楼
2020-08-22 05:37
回复
CPYHH(金币+1): 谢谢参与
已获得
1
个金币
发自小木虫Android客户端
xiaanping
13楼
2020-08-22 05:44
回复
CPYHH(金币+1): 谢谢参与
已获得
1
个金币
发自小木虫IOS客户端
ff12535
14楼
2020-08-22 07:13
回复
CPYHH(金币+1): 谢谢参与
已获得
1
个金币
发自小木虫Android客户端
查看全部 114 个回答
如果回帖内容含有宣传信息,请如实选中。否则帐号将被全论坛禁言
普通表情
龙
兔
虎
猫
高级回复
(可上传附件)
百度网盘
|
360云盘
|
千易网盘
|
华为网盘
在新窗口页面中打开自己喜欢的网盘网站,将文件上传后,然后将下载链接复制到帖子内容中就可以了。
信息提示
关闭
请填处理意见
关闭
确定