24小时热门版块排行榜    

查看: 1294  |  回复: 0

生信自学网

铁虫 (小有名气)

[交流] 泛癌基因家族分析(泛癌多基因的药物敏感性分析)

泛癌基因家族分析(泛癌多基因的药物敏感性分析)
                                                                                               --生信自学网
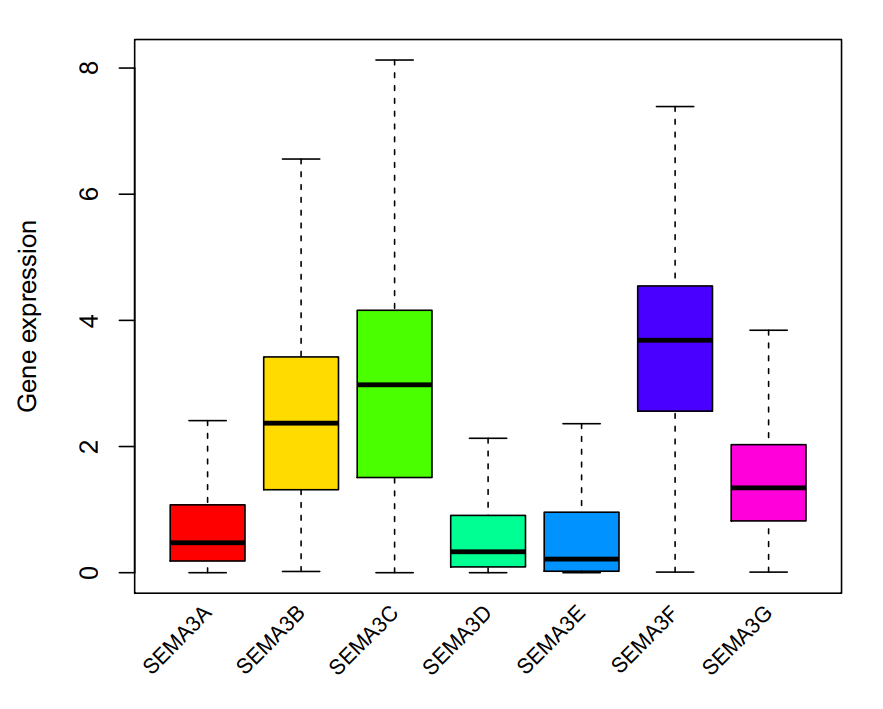
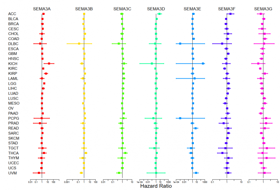
        今天我们给大家讲解下泛癌基因家族分析(泛癌多基因文章套路),这个目前比较热的一个课题。基因家族(gene family),是指来源于同一个祖先,由一个基因通过基因重复而产生两个或更多的拷贝而构成的一组基因,它们在结构和功能上具有明显的相似性,编码相似的蛋白质产物。在泛癌的背景下,加上基因家族的分析,就形成了多癌种多基因的文章套路。泛癌基因家族分析将多个癌症中的多个基因进行联合分析,观察家族中的基因在正常和肿瘤的差异情况,以及基因与生存、肿瘤微环境、肿瘤干细胞的相关性分析。同时,我们找出基因的改变与药物敏感性的关系。
        课程内容包括:泛癌多基因文章套路,软件准备,泛癌数据下载,id转换,提取目标基因,泛癌基因表达水平,泛癌差异分析,泛癌差异分析热图,基因相关性分析,生存分析输入文件,生存分析KM,COX分析,免疫亚型分析,肿瘤微环境,肿瘤微环境相关性,肿瘤干细胞相关性(RNAss),肿瘤干细胞相关性(DNAss),药物敏感性,单肿瘤免疫亚型相关性,单肿瘤临床相关性,单肿瘤微环境和干细胞指数。

泛癌基因家族分析(泛癌多基因的药物敏感性分析)
01.png


泛癌基因家族分析(泛癌多基因的药物敏感性分析)-1
02.png


泛癌基因家族分析(泛癌多基因的药物敏感性分析)-2
03.png


泛癌基因家族分析(泛癌多基因的药物敏感性分析)-3
04.png


泛癌基因家族分析(泛癌多基因的药物敏感性分析)-4
05.png


泛癌基因家族分析(泛癌多基因的药物敏感性分析)-5
06.png


泛癌基因家族分析(泛癌多基因的药物敏感性分析)-6
07.png


泛癌基因家族分析(泛癌多基因的药物敏感性分析)-7
08.png


泛癌基因家族分析(泛癌多基因的药物敏感性分析)-8
09.png


泛癌基因家族分析(泛癌多基因的药物敏感性分析)-9
10.png


泛癌基因家族分析(泛癌多基因的药物敏感性分析)-10
11.png


泛癌基因家族分析(泛癌多基因的药物敏感性分析)-11
12.png


泛癌基因家族分析(泛癌多基因的药物敏感性分析)-12
13.png


泛癌基因家族分析(泛癌多基因的药物敏感性分析)-13
14.png
回复此楼

» 猜你喜欢

已阅   回复此楼   关注TA 给TA发消息 送TA红花 TA的回帖
相关版块跳转 我要订阅楼主 生信自学网 的主题更新
普通表情 高级回复 (可上传附件)
最具人气热帖推荐 [查看全部] 作者 回/看 最后发表
[考研] 307求调剂 +11 冷笙123 2026-03-17 11/550 2026-03-22 20:16 by edmund7
[考研] 一志愿上海交大生物与医药专硕324分,求调剂 +3 jiajunX 2026-03-22 3/150 2026-03-22 19:32 by brblmd
[考研] 324求调剂 +6 lucky呀呀呀鸭 2026-03-20 6/300 2026-03-22 16:01 by ColorlessPI
[考研] 318求调剂 +4 plum李子 2026-03-21 7/350 2026-03-22 14:17 by ColorlessPI
[考研] 生物学一志愿985,分数349求调剂 +4 zxts12 2026-03-21 7/350 2026-03-22 09:57 by zxts12
[考研] 一志愿华中科技大学071000,求调剂 +4 沿岸有贝壳6 2026-03-21 4/200 2026-03-22 07:21 by ilovexiaobin
[考研] 初试 317 +7 半拉月丙 2026-03-20 7/350 2026-03-21 22:26 by peike
[考研] 材料求调剂 +5 @taotao 2026-03-21 5/250 2026-03-21 20:55 by lbsjt
[考研] 265求调剂 +12 梁梁校校 2026-03-19 14/700 2026-03-21 13:38 by lature00
[考研] 求调剂 +3 Ma_xt 2026-03-17 3/150 2026-03-21 02:05 by JourneyLucky
[考研] 304求调剂 +6 曼殊2266 2026-03-18 6/300 2026-03-21 00:32 by JourneyLucky
[考研] 一志愿西南交大,求调剂 +5 材化逐梦人 2026-03-18 5/250 2026-03-21 00:26 by JourneyLucky
[考研] 308求调剂 +3 阿姐阿姐家啊 2026-03-18 3/150 2026-03-20 23:24 by JourneyLucky
[考研] 288求调剂 +16 于海海海海 2026-03-19 16/800 2026-03-20 22:28 by JourneyLucky
[考研] 295材料求调剂,一志愿武汉理工085601专硕 +5 Charlieyq 2026-03-19 5/250 2026-03-20 20:35 by JourneyLucky
[考研] 招收调剂硕士 +4 lidianxing 2026-03-19 12/600 2026-03-20 12:25 by lidianxing
[考博] 申博26年 +3 八6八68 2026-03-19 3/150 2026-03-19 19:43 by nxgogo
[考研] 085600材料与化工求调剂 +6 绪幸与子 2026-03-17 6/300 2026-03-19 13:27 by houyaoxu
[考研] 0854可跨调剂,一作一项核心论文五项专利,省、国级证书40+数一英一287 +8 小李0854 2026-03-16 8/400 2026-03-18 14:35 by 搏击518
[考研] 一志愿苏州大学材料工程(085601)专硕有科研经历三项国奖两个实用型专利一项省级立项 +6 大火山小火山 2026-03-16 8/400 2026-03-17 15:05 by 无懈可击111
信息提示
请填处理意见