| 查看: 2619 | 回复: 12 | ||
| 【悬赏金币】回答本帖问题,作者柯西_将赠送您 5 个金币 | ||
| 当前只显示满足指定条件的回帖,点击这里查看本话题的所有回帖 | ||
[求助]
『初学matlab』画二元函数图已有2人参与
|
||
|
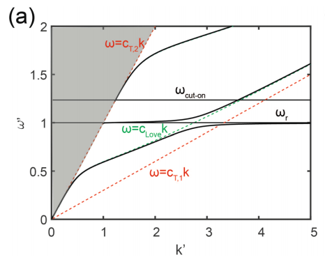
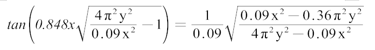
初学MATLAB,要实现文献中的色散曲线图,方程推导出来是这样的,想画出文献图中的绿色虚线,k'对应方程的x,w'是y。但是直接用ezplot画出来的是图三,和文献完全对不上。还请大神们不吝赐教。 发自小木虫IOS客户端 |
» 猜你喜欢
导师想让我从独立一作变成了共一第一
已经有5人回复
博士读完未来一定会好吗
已经有20人回复
到新单位后,换了新的研究方向,没有团队,持续积累2区以上论文,能申请到面上吗
已经有11人回复
读博
已经有4人回复
JMPT 期刊投稿流程
已经有4人回复
心脉受损
已经有5人回复
Springer期刊投稿求助
已经有4人回复
小论文投稿
已经有3人回复
Bioresource Technology期刊,第一次返修的时候被退回好几次了
已经有9人回复
申请2026年博士
已经有6人回复
13楼2021-04-26 23:13:22
2楼2020-06-29 11:02:10
3楼2020-06-29 11:05:48
hzlhm
至尊木虫 (著名写手)
- 应助: 387 (硕士)
- 金币: 18111.5
- 红花: 53
- 帖子: 2879
- 在线: 603.7小时
- 虫号: 1517335
- 注册: 2011-11-30
- 性别: GG
- 专业: 常微分方程与动力系统

4楼2020-06-29 11:59:44













回复此楼
