| 查看: 2876 | 回复: 12 | ||
| 【悬赏金币】回答本帖问题,作者柯西_将赠送您 5 个金币 | ||
[求助]
『初学matlab』画二元函数图 已有2人参与
|
||
|
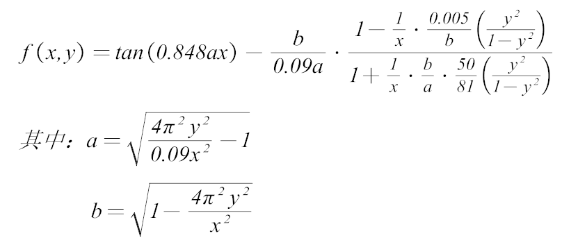
初学MATLAB,要实现文献中的色散曲线图,方程推导出来是这样的,想画出文献图中的绿色虚线,k'对应方程的x,w'是y。但是直接用ezplot画出来的是图三,和文献完全对不上。还请大神们不吝赐教。 发自小木虫IOS客户端 |
» 猜你喜欢
化工调剂303分,过四级
已经有5人回复
071000生物学调剂
已经有3人回复
一志愿华东理工大学,080500学硕,317分,求调剂
已经有10人回复
327求调剂
已经有9人回复
0856初试324分求调剂
已经有6人回复
08开头看过来!!!
已经有6人回复
材料调剂
已经有7人回复
一志愿北京科技大学085601材料工程英一数二初试总分335求调剂
已经有8人回复
085900土木水利336分求调剂
已经有6人回复
319求调剂
已经有13人回复
3楼2020-06-29 11:05:48

8楼2020-06-30 19:52:46
2楼2020-06-29 11:02:10

4楼2020-06-29 11:59:44
5楼2020-06-30 11:01:30
6楼2020-06-30 11:06:36
7楼2020-06-30 11:08:03
9楼2020-07-01 16:26:24
10楼2020-07-02 13:47:01














回复此楼

