| ²é¿´: 2592 | »Ø¸´: 4 | ||
bc1939383288½ð³æ (СÓÐÃûÆø)
|
[ÇóÖú]
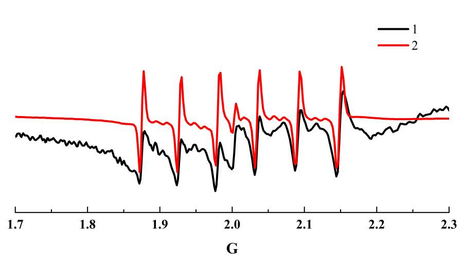
îÑÔªËØµÄEPR·ÖÎö
|
|
Çë½Ì¸÷λ»á·ÖÎöEPRÊý¾ÝÂð£¿ÎÒµÄ2¸öÑùÆ·¾ùÊǺ¬TiÔªËØµÄ¾§Ì壬²»º¬ÓÐÆäËû½ðÊô¡£²âÊÔµÄÊǹÌÌ壬³öÏÖÁËÆæ¹ÖµÄÆ×ͼ£¬´ó¼ÒÄܲ»Äܰïæ·ÖÎöһϣ¬Ð»Ð»¡£ 1.jpg |
» ²ÂÄãϲ»¶
¹ãÖÝ´óѧ´óÍåÇø»·¾³Ñо¿Ôº»·¾³´ó·Ö×Ó²ÄÁÏÑо¿ËùÍõƽɽ½ÌÊÚÍÅ¶Ó 2026ÄêÑо¿ÉúÕÐÉú¼òÕÂ
ÒѾÓÐ0È˻ظ´
Ìì½òÀí¹¤´óѧ
ÒѾÓÐ0È˻ظ´
ÎÞ»ú»¯Ñ§ÂÛÎÄÈóÉ«/·ÒëÔõôÊÕ·Ñ?
ÒѾÓÐ141È˻ظ´
̨ÖÝѧԺÓÐÐò¶à¿×²ÄÁÏÍŶÓ×îºó³å´Ì£¬Í¬Ñ§ÃDZð´í¹ýŶ£¬ÇëËÙÁªÏµ£¡
ÒѾÓÐ0È˻ظ´
½Î÷¿Æ¼¼Ê¦·¶´óѧÎïÀí»¯Ñ§¿ÎÌâ×é½ÓÊÕµ÷¼ÁÉú£¬Ãû¶î»¹ÓУ¬ËÙÀ´
ÒѾÓÐ0È˻ظ´
Çó̼ËáÄÆºÍ̼ËáÇâÄÆµÄ¾§°û½á¹¹Í¼»ò¾§Ìå½á¹¹Í¼
ÒѾÓÐ0È˻ظ´
Çó̼ËáÄÆºÍ̼ËáÇâÄÆµÄ¾§°û½á¹¹Í¼»ò¾§Ìå½á¹¹Í¼
ÒѾÓÐ0È˻ظ´
½Î÷¿Æ¼¼Ê¦·¶´óѧÎïÀí»¯Ñ§¿ÎÌâ×é½ÓÊÕµ÷¼ÁÉú£¬12µã¿ªÆô£¬ËÙÀ´
ÒѾÓÐ0È˻ظ´
bc1939383288
½ð³æ (СÓÐÃûÆø)
- Ó¦Öú: 2 (Ó×¶ùÔ°)
- ½ð±Ò: 1056.7
- É¢½ð: 853
- Ìû×Ó: 190
- ÔÚÏß: 163.6Сʱ
- ³æºÅ: 3103557
- ×¢²á: 2014-03-31
- רҵ: ÎÞ»ú³¬·Ö×Ó»¯Ñ§
2Â¥2017-12-16 19:43:29
pfeng
½ð³æ (ÖøÃûдÊÖ)
- Ó¦Öú: 2 (Ó×¶ùÔ°)
- ½ð±Ò: 6175.2
- É¢½ð: 755
- ºì»¨: 12
- Ìû×Ó: 1129
- ÔÚÏß: 318.6Сʱ
- ³æºÅ: 1345483
- ×¢²á: 2011-07-14
- ÐÔ±ð: GG
- רҵ: ÎïÀíѧI

3Â¥2017-12-17 10:57:34
bc1939383288
½ð³æ (СÓÐÃûÆø)
- Ó¦Öú: 2 (Ó×¶ùÔ°)
- ½ð±Ò: 1056.7
- É¢½ð: 853
- Ìû×Ó: 190
- ÔÚÏß: 163.6Сʱ
- ³æºÅ: 3103557
- ×¢²á: 2014-03-31
- רҵ: ÎÞ»ú³¬·Ö×Ó»¯Ñ§
4Â¥2017-12-17 11:08:02
bc1939383288
½ð³æ (СÓÐÃûÆø)
- Ó¦Öú: 2 (Ó×¶ùÔ°)
- ½ð±Ò: 1056.7
- É¢½ð: 853
- Ìû×Ó: 190
- ÔÚÏß: 163.6Сʱ
- ³æºÅ: 3103557
- ×¢²á: 2014-03-31
- רҵ: ÎÞ»ú³¬·Ö×Ó»¯Ñ§
5Â¥2017-12-17 19:11:40














»Ø¸´´ËÂ¥
bc1939383288