| 查看: 589 | 回复: 4 | ||
[求助]
麻烦高手看看,我这个结果收敛吗?
|
|
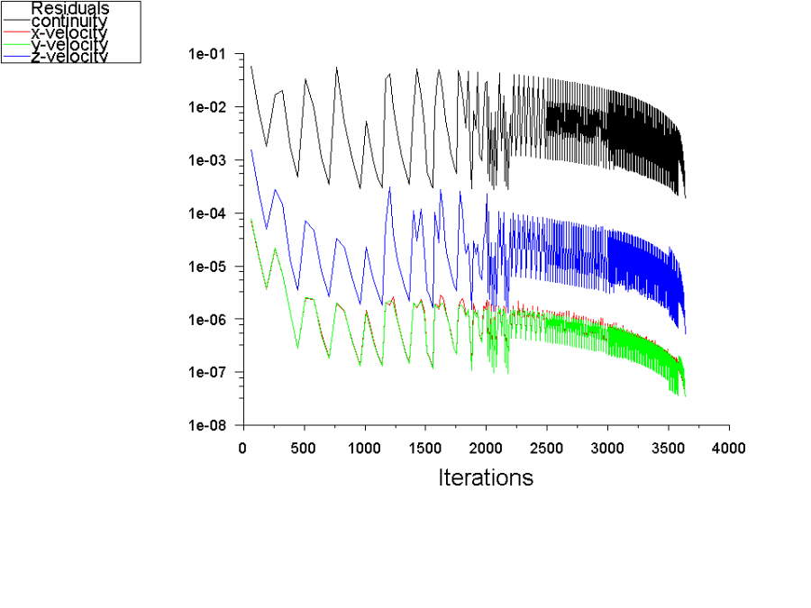
我做一个单向流固耦合的例子,这是用FLUENT 模拟的流体速度,麻烦各位看看,这个结果是不是收敛的?我想把流体结果传递到结构中,但是老是无法传递数据,我怀疑是不收敛的问题,请各位老师帮忙提点建议。 FFF.1-Setup-Output.png |
» 猜你喜欢
本科211,293分请求调剂
已经有6人回复
085600材料与化工调剂
已经有25人回复
本9一志愿2 0854低分专硕286求调剂
已经有4人回复
085600,320分求调剂
已经有9人回复
316求调剂
已经有5人回复
0856调剂
已经有8人回复
278求调剂
已经有5人回复
0703求调剂383分
已经有3人回复
400分求调剂
已经有3人回复
085701求调剂
已经有5人回复
» 本主题相关价值贴推荐,对您同样有帮助:
[转载]一个老贴:一个局外人看北大数学考研初试及数学分析学习方法--SCIbird
已经有11人回复
【整理】《提问的智慧》——献给那些不会提问的人
已经有78人回复
晴日共剪窗__
新虫 (初入文坛)
- 应助: 0 (幼儿园)
- 金币: 68.3
- 帖子: 24
- 在线: 11.3小时
- 虫号: 7145327
- 注册: 2017-09-05
- 性别: GG
- 专业: 金属材料的凝固与结晶学
2楼2017-10-27 00:31:07
3楼2017-10-27 02:21:24
4楼2017-10-27 08:18:16
5楼2017-10-27 21:07:13














回复此楼