| ²é¿´: 1499 | »Ø¸´: 14 | |||
wy_sweetгæ (³õÈëÎÄ̳)
|
[½»Á÷]
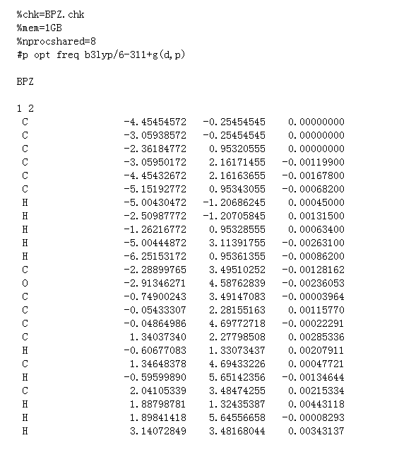
ÐÂÊÖ²»ÖªµÀÄÄÀï³öÁËÎÊÌâ ÐèÒªÔõô¸ÄÕý£¿Ñ°Çó°ïÖú ÒÑÓÐ3È˲ÎÓë
|
|
¸ß˹09 ·¢×ÔСľ³æIOS¿Í»§¶Ë |
» ²ÂÄãϲ»¶
0703µ÷¼Á
ÒѾÓÐ4È˻ظ´
1
ÒѾÓÐ21È˻ظ´
ÎïÀí»¯Ñ§ÂÛÎÄÈóÉ«/·ÒëÔõôÊÕ·Ñ?
ÒѾÓÐ171È˻ظ´
0703 µ÷¼Á
ÒѾÓÐ6È˻ظ´
ɽÎ÷´óѧ×ÊÔ´Óë»·¾³¹¤³ÌÑо¿Ëù»¯¹¤·ÖÀë/»·¾³¹¦ÄܲÄÁÏС×éÕÐÊÕ2026Ä격ʿÉú
ÒѾÓÐ2È˻ظ´
Î÷ÄÏij211ÕÐ27½ì²©Ê¿
ÒѾÓÐ32È˻ظ´
´óÁ¬¹¤Òµ½ÜÇà/³¤½ÍŶÓ-ÉúÎïÖʲÄÁÏ-´¢ÄÜµç³Ø·½ÏòÕÐÊÕ2026¼¶²©Ê¿Éú
ÒѾÓÐ0È˻ظ´
°ÍÀèÎ÷á·´óѧ£¨Universit¨¦ Paris Cit¨¦£©Fayna MAMMERI µ¼Ê¦Ñ°ÕÒCSC¹«Åɲ©Ê¿Éú
ÒѾÓÐ9È˻ظ´
ÖйúÉ¢ÁÑÖÐ×ÓÔ´³ÏƸ¡°AI²ÄÁϼÆË㡱·½Ïò²©Ê¿ºó/Ö°¹¤
ÒѾÓÐ75È˻ظ´
ÉîÛÚ´óѧ¸ßµÈÑо¿ÔºÕÔΰ¿ÎÌâ×éÕÐÊÕ»¯Ñ§µ÷¼ÁÉú
ÒѾÓÐ2È˻ظ´
aaССÓÓ
Òø³æ (Ö°Òµ×÷¼Ò)
- Ó¦Öú: 0 (Ó×¶ùÔ°)
- ½ð±Ò: 102.2
- É¢½ð: 4566
- ºì»¨: 26
- ɳ·¢: 48
- Ìû×Ó: 4128
- ÔÚÏß: 1237.1Сʱ
- ³æºÅ: 4944143
- ×¢²á: 2016-08-25
- ÐÔ±ð: GG
- רҵ: Ô×ӺͷÖ×ÓÎïÀí
2Â¥2017-10-11 15:12:55
wy_sweet
гæ (³õÈëÎÄ̳)
- Ó¦Öú: 0 (Ó×¶ùÔ°)
- ½ð±Ò: 80
- Ìû×Ó: 17
- ÔÚÏß: 5.5Сʱ
- ³æºÅ: 7285407
- ×¢²á: 2017-10-11
- ÐÔ±ð: MM
- רҵ: ÀíÂۺͼÆË㻯ѧ
3Â¥2017-10-11 15:42:18
aaССÓÓ
Òø³æ (Ö°Òµ×÷¼Ò)
- Ó¦Öú: 0 (Ó×¶ùÔ°)
- ½ð±Ò: 102.2
- É¢½ð: 4566
- ºì»¨: 26
- ɳ·¢: 48
- Ìû×Ó: 4128
- ÔÚÏß: 1237.1Сʱ
- ³æºÅ: 4944143
- ×¢²á: 2016-08-25
- ÐÔ±ð: GG
- רҵ: Ô×ӺͷÖ×ÓÎïÀí
¡ï ¡ï ¡ï ¡ï
Сľ³æ: ½ð±Ò+0.5, ¸ø¸öºì°ü£¬Ð»Ð»»ØÌû
zhou2009: ½ð±Ò+3 2017-10-16 17:05:38
Сľ³æ: ½ð±Ò+0.5, ¸ø¸öºì°ü£¬Ð»Ð»»ØÌû
zhou2009: ½ð±Ò+3 2017-10-16 17:05:38
|
optcyc=200 pop=reg scfcon=5 scfcyc=200ÊÔÊÔÕâ¸ö ·¢×ÔСľ³æIOS¿Í»§¶Ë |
4Â¥2017-10-11 15:46:21
wy_sweet
гæ (³õÈëÎÄ̳)
- Ó¦Öú: 0 (Ó×¶ùÔ°)
- ½ð±Ò: 80
- Ìû×Ó: 17
- ÔÚÏß: 5.5Сʱ
- ³æºÅ: 7285407
- ×¢²á: 2017-10-11
- ÐÔ±ð: MM
- רҵ: ÀíÂۺͼÆË㻯ѧ
5Â¥2017-10-11 15:47:10
aaССÓÓ
Òø³æ (Ö°Òµ×÷¼Ò)
- Ó¦Öú: 0 (Ó×¶ùÔ°)
- ½ð±Ò: 102.2
- É¢½ð: 4566
- ºì»¨: 26
- ɳ·¢: 48
- Ìû×Ó: 4128
- ÔÚÏß: 1237.1Сʱ
- ³æºÅ: 4944143
- ×¢²á: 2016-08-25
- ÐÔ±ð: GG
- רҵ: Ô×ӺͷÖ×ÓÎïÀí
¡ï
Сľ³æ: ½ð±Ò+0.5, ¸ø¸öºì°ü£¬Ð»Ð»»ØÌû
Сľ³æ: ½ð±Ò+0.5, ¸ø¸öºì°ü£¬Ð»Ð»»ØÌû
|
ÈçºÎ»¹²»Ðеϰ£¬Äã¾ÍÔÚ˼Ïë¼Ò¹«ÉçÉÏ¿´¿´£¬ÄÇÀïÓÐ˵µ½ÕâЩ¡£ ·¢×ÔСľ³æIOS¿Í»§¶Ë |
6Â¥2017-10-11 16:14:29
lkk1213
гæ (ÕýʽдÊÖ)
- Ó¦Öú: 16 (СѧÉú)
- ½ð±Ò: 2552.1
- É¢½ð: 5
- ºì»¨: 10
- Ìû×Ó: 441
- ÔÚÏß: 65.4Сʱ
- ³æºÅ: 4861545
- ×¢²á: 2016-07-22
- ÐÔ±ð: GG
- רҵ: ½ðÊôÓлú»¯Ñ§
¡ï ¡ï ¡ï ¡ï
Сľ³æ: ½ð±Ò+0.5, ¸ø¸öºì°ü£¬Ð»Ð»»ØÌû
zhou2009: ½ð±Ò+3 2017-10-16 17:05:07
Сľ³æ: ½ð±Ò+0.5, ¸ø¸öºì°ü£¬Ð»Ð»»ØÌû
zhou2009: ½ð±Ò+3 2017-10-16 17:05:07
|
scf²»ÊÕÁ²£¬ÊäÈëÎļþ±íÃ÷ÄãÖ»ÊÇÓÅ»¯ºÍƵÂÊ·ÖÎö£¬½¨Òé¸ÄÓõͼ¶±ð·½·¨ÓÅ»¯½á¹¹£¬ÔÚÓø߼¶±ðµÄ·½·¨¼ÆËãÄÜÁ¿ºÍƵÂÊ·ÖÎö£¬ÕâÑù¼ÆË㼴ʡʱ£¬ÓÖ׼ȷ£¬ºÜÉÙʧ°Ü¡£»¹ÓÐGaussianÖÐscf»á¼ÆËã128´Î£¬Èç¹û²»ÊÕÁ²£¬¼°Ê±µ÷´óÒ²ºÜÄÑÊÕÁ²(³ý·ÇscfÓÐÊÕÁ²µÄÇ÷ÊÆ) ·¢×ÔСľ³æAndroid¿Í»§¶Ë |
7Â¥2017-10-12 01:13:10
wy_sweet
гæ (³õÈëÎÄ̳)
- Ó¦Öú: 0 (Ó×¶ùÔ°)
- ½ð±Ò: 80
- Ìû×Ó: 17
- ÔÚÏß: 5.5Сʱ
- ³æºÅ: 7285407
- ×¢²á: 2017-10-11
- ÐÔ±ð: MM
- רҵ: ÀíÂۺͼÆË㻯ѧ
|
·Ç³£¸ÐлÄãµÄ½â´ð£¬ÎÒ¸Õ¸Õ½Ó´¥¸ß˹ ²»ÊǺܶ®¡¢ÎÒÐèÒªÔõô¸ÄÎÒµÄÊä³öÎļþ°¡£¿ ·¢×ÔСľ³æIOS¿Í»§¶Ë |
8Â¥2017-10-12 07:20:37
xzz1007
½ð³æ (СÓÐÃûÆø)
- Ó¦Öú: 8 (Ó×¶ùÔ°)
- ½ð±Ò: 300.4
- ºì»¨: 2
- Ìû×Ó: 189
- ÔÚÏß: 76.3Сʱ
- ³æºÅ: 2275671
- ×¢²á: 2013-02-06
- ÐÔ±ð: MM
- רҵ: ÀíÂۺͼÆË㻯ѧ

9Â¥2017-10-16 15:49:25
lkk1213
гæ (ÕýʽдÊÖ)
- Ó¦Öú: 16 (СѧÉú)
- ½ð±Ò: 2552.1
- É¢½ð: 5
- ºì»¨: 10
- Ìû×Ó: 441
- ÔÚÏß: 65.4Сʱ
- ³æºÅ: 4861545
- ×¢²á: 2016-07-22
- ÐÔ±ð: GG
- רҵ: ½ðÊôÓлú»¯Ñ§
10Â¥2017-10-16 18:18:10













»Ø¸´´ËÂ¥
