| 查看: 1649 | 回复: 3 | ||
[求助]
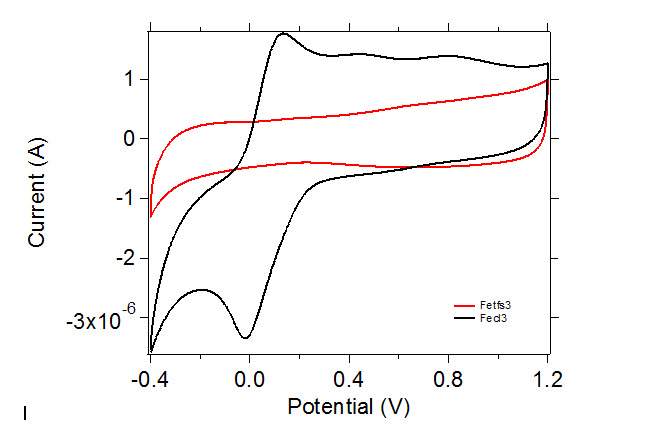
求助: 铁化合物的伏安CV 扫描氧化还原峰的问题
|
||
|
|
||
|
||
|
2楼2017-10-04 09:58:31
|
|
|
|
3楼2017-10-04 10:11:04
|
|
|
|
4楼2017-10-04 10:23:40
|
|














回复此楼