Znn3bq.jpeg
±±¾©Ê¯ÓÍ»¯¹¤Ñ§Ôº2026ÄêÑо¿ÉúÕÐÉú½ÓÊÕµ÷¼Á¹«¸æ
²é¿´: 5924  |  »Ø¸´: 34

Pasadena

Ìú³æ (ÕýʽдÊÖ)


[½»Á÷] ±»¹þ·ð²©Ê¿±ÏÒµµÄÍâµ¼Íê°Ü£¬·¢ÏÖ×Ô¼ºÊµÔÚÌ« LOW

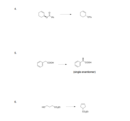
ÈçÌ⣬½ñÍíÃæÊÔ£¬Íâµ¼ºÍÎÒº®êÑÁ˼¸¾äÖ®ºó£¬Ö±½Ó·¢À´Á˾ŸöÓлú»¯Ñ§µÄÌâÄ¿ÈÃÎÒ×ö¡£ÎÒÒ»¿´¾Íã±ÆÁË£¬ÌôÁË×ÔÈÏΪ¼òµ¥µÄÁ½¸ö»Ø´ð¡£Ö»ÓÐÒ»¸ö»Ø´ð»¹ËãÔÚµãÉÏ£¬µ«Íâµ¼²»ËãÌ«ÂúÒ⣻ÁíÍâÒ»¸öÌâÄ¿¸üÊǿĿİí°íµÄ£¬ È»ºóÈ»ºó¡¢¡¢¡¢¡¢¡¢¾ÍûȻºóÁË¡£Çë¹ã´ó³æÓÑҲһͬ¿´¿´ÌâÄ¿£¬Ó»Ô¾´ðÌ⣬ÊÔÊÔ×Ô¼ºµÄˮƽ°É¡£

±»¹þ·ð²©Ê¿±ÏÒµµÄÍâµ¼Íê°Ü£¬·¢ÏÖ×Ô¼ºÊµÔÚÌ« LOW
1.png


±»¹þ·ð²©Ê¿±ÏÒµµÄÍâµ¼Íê°Ü£¬·¢ÏÖ×Ô¼ºÊµÔÚÌ« LOW-1
2.png


±»¹þ·ð²©Ê¿±ÏÒµµÄÍâµ¼Íê°Ü£¬·¢ÏÖ×Ô¼ºÊµÔÚÌ« LOW-2
3.png
»Ø¸´´ËÂ¥

» ÊÕ¼±¾ÌûµÄÌÔÌûר¼­ÍƼö

ҩѧ»ù´¡¿Î8475

» ²ÂÄãϲ»¶

» ÇÀ½ð±ÒÀ²£¡»ØÌû¾Í¿ÉÒԵõ½:

²é¿´È«²¿É¢½ðÌù

ÒÑÔÄ   »Ø¸´´ËÂ¥   ¹Ø×¢TA ¸øTA·¢ÏûÏ¢ ËÍTAºì»¨ TAµÄ»ØÌû
»ØÌûÖ§³Ö ( ÏÔʾ֧³Ö¶È×î¸ßµÄǰ 50 Ãû )

YAODACHOU

гæ (СÓÐÃûÆø)


¡ï
Pasadena(½ð±Ò+1): лл²ÎÓë
Ö±¾õÉϺܼòµ¥£¬¹À¼Æ¿¼Ñвſ¼ÁËÓлúµÄÈË»áºÜ¿ì

·¢×ÔСľ³æAndroid¿Í»§¶Ë
17Â¥2017-09-22 22:22:53
ÒÑÔÄ   »Ø¸´´ËÂ¥   ¹Ø×¢TA ¸øTA·¢ÏûÏ¢ ËÍTAºì»¨ TAµÄ»ØÌû
ÆÕͨ»ØÌû

ºÎfox

гæ (ÖøÃûдÊÖ)


¡ï
Pasadena(½ð±Ò+1): лл²ÎÓë
2Â¥2017-09-22 20:08:59
ÒÑÔÄ   »Ø¸´´ËÂ¥   ¹Ø×¢TA ¸øTA·¢ÏûÏ¢ ËÍTAºì»¨ TAµÄ»ØÌû

liyileary

Í­³æ (СÓÐÃûÆø)


¡ï
Pasadena(½ð±Ò+1): лл²ÎÓë
3Â¥2017-09-22 20:09:10
ÒÑÔÄ   »Ø¸´´ËÂ¥   ¹Ø×¢TA ¸øTA·¢ÏûÏ¢ ËÍTAºì»¨ TAµÄ»ØÌû

zuiaixuexi

ÖÁ×ðľ³æ (ÎÄ̳¾«Ó¢)


¡ï
Pasadena(½ð±Ò+1): лл²ÎÓë
×£ºÃÔË
4Â¥2017-09-22 20:15:22
ÒÑÔÄ   »Ø¸´´ËÂ¥   ¹Ø×¢TA ¸øTA·¢ÏûÏ¢ ËÍTAºì»¨ TAµÄ»ØÌû

·ïÃÃ6ÔÂ

гæ (ÎÄ̳¾«Ó¢)


¡ï
Pasadena(½ð±Ò+1): лл²ÎÓë
6Â¥2017-09-22 20:32:16
ÒÑÔÄ   »Ø¸´´ËÂ¥   ¹Ø×¢TA ¸øTA·¢ÏûÏ¢ ËÍTAºì»¨ TAµÄ»ØÌû

ÄäÃû


¡ï
Pasadena(½ð±Ò+1): лл²ÎÓë
±¾Ìû½öÂ¥Ö÷¿É¼û
7Â¥2017-09-22 20:33:09
ÒÑÔÄ   ÉêÇëDIY-EPI   »Ø¸´´ËÂ¥   ±à¼­   ²é¿´ÎÒµÄÖ÷Ò³

crazydr

гæ (ÎÄ̳¾«Ó¢)


¡ï
Pasadena(½ð±Ò+1): лл²ÎÓë
8Â¥2017-09-22 20:44:44
ÒÑÔÄ   »Ø¸´´ËÂ¥   ¹Ø×¢TA ¸øTA·¢ÏûÏ¢ ËÍTAºì»¨ TAµÄ»ØÌû

Gongyou

ľ³æ (ÕýʽдÊÖ)


¡ï
Pasadena(½ð±Ò+1): лл²ÎÓë
12Â¥2017-09-22 21:00:55
ÒÑÔÄ   »Ø¸´´ËÂ¥   ¹Ø×¢TA ¸øTA·¢ÏûÏ¢ ËÍTAºì»¨ TAµÄ»ØÌû

shaohe2013

Ìú¸Ëľ³æ (ÕýʽдÊÖ)


¡ï
Pasadena(½ð±Ò+1): лл²ÎÓë
½²½²ß£¬ÈÃÎÒÃÇĤ°ÝÒ»ÏÂ

·¢×ÔСľ³æIOS¿Í»§¶Ë
14Â¥2017-09-22 21:11:35
ÒÑÔÄ   »Ø¸´´ËÂ¥   ¹Ø×¢TA ¸øTA·¢ÏûÏ¢ ËÍTAºì»¨ TAµÄ»ØÌû

907280448

ľ³æ (ÖøÃûдÊÖ)


¡ï
Pasadena(½ð±Ò+1): лл²ÎÓë
16Â¥2017-09-22 22:18:53
ÒÑÔÄ   »Ø¸´´ËÂ¥   ¹Ø×¢TA ¸øTA·¢ÏûÏ¢ ËÍTAºì»¨ TAµÄ»ØÌû

shuirong

ÖÁ×ðľ³æ (ÎÄ̳¾«Ó¢)


¡ï
Pasadena(½ð±Ò+1): лл²ÎÓë
18Â¥2017-09-22 22:44:13
ÒÑÔÄ   »Ø¸´´ËÂ¥   ¹Ø×¢TA ¸øTA·¢ÏûÏ¢ ËÍTAºì»¨ TAµÄ»ØÌû

legong

ľ³æ (ÕýʽдÊÖ)


¡ï
Pasadena(½ð±Ò+1): лл²ÎÓë
Õâ¸öÃæÊÔºÜÓÐÌôÕ½°¡£¬¿ÉÓлú»¯Ñ§£¬ÎÒ±íʾû¿´¶®¡£²»¹ýÂ¥Ö÷£¬ÄãÒ²ÊÕ»ñÁ˾­ÑéÄØ£¬¼ÓÓÍ

·¢×ÔСľ³æAndroid¿Í»§¶Ë
19Â¥2017-09-22 22:52:43
ÒÑÔÄ   »Ø¸´´ËÂ¥   ¹Ø×¢TA ¸øTA·¢ÏûÏ¢ ËÍTAºì»¨ TAµÄ»ØÌû

Pasadena

Ìú³æ (ÕýʽдÊÖ)


ÒýÓûØÌû:
17Â¥: Originally posted by YAODACHOU at 2017-09-22 22:22:53
Ö±¾õÉϺܼòµ¥£¬¹À¼Æ¿¼Ñвſ¼ÁËÓлúµÄÈË»áºÜ¿ì

½ñÌìºÃºÃÑÐϰһÏÂÑо¿ÉúʱµÄ¸ß¼¶ÓлúºÏ³É²Î¿¼Ê飬·¢ÏÖÕâ¾Å¸öºÏ³ÉÌâÄ¿ÄѶȲ»Ð¡£¬µ½Ä¿Ç°ÎªÖ¹Ò²Ö»ÊǸ㶮ÁËÆäÖеÄÎåµÀÌâÄ¿¡£
22Â¥2017-09-25 22:33:38
ÒÑÔÄ   »Ø¸´´ËÂ¥   ¹Ø×¢TA ¸øTA·¢ÏûÏ¢ ËÍTAºì»¨ TAµÄ»ØÌû

Pasadena

Ìú³æ (ÕýʽдÊÖ)


ÒýÓûØÌû:
2Â¥: Originally posted by ºÎfox at 2017-09-22 20:08:59
±íʾû¿´¶®

Óлú»¯Ñ§ºÜ²»¼òµ¥µÄ
23Â¥2017-09-25 22:33:56
ÒÑÔÄ   »Ø¸´´ËÂ¥   ¹Ø×¢TA ¸øTA·¢ÏûÏ¢ ËÍTAºì»¨ TAµÄ»ØÌû

Pasadena

Ìú³æ (ÕýʽдÊÖ)


ÒýÓûØÌû:
3Â¥: Originally posted by liyileary at 2017-09-22 20:09:10
À÷º¦ÁË£¡

¸ø¿Æ´óÀÏʦ¶ªÈËÁË
24Â¥2017-09-25 22:34:13
ÒÑÔÄ   »Ø¸´´ËÂ¥   ¹Ø×¢TA ¸øTA·¢ÏûÏ¢ ËÍTAºì»¨ TAµÄ»ØÌû

Pasadena

Ìú³æ (ÕýʽдÊÖ)


ÒýÓûØÌû:
3Â¥: Originally posted by liyileary at 2017-09-22 20:09:10
À÷º¦ÁË£¡

¸ø¿Æ´óÀÏʦ¶ªÈËÁË
25Â¥2017-09-25 22:34:16
ÒÑÔÄ   »Ø¸´´ËÂ¥   ¹Ø×¢TA ¸øTA·¢ÏûÏ¢ ËÍTAºì»¨ TAµÄ»ØÌû

Pasadena

Ìú³æ (ÕýʽдÊÖ)


ÒýÓûØÌû:
3Â¥: Originally posted by liyileary at 2017-09-22 20:09:10
À÷º¦ÁË£¡

¸ø¿Æ´óÀÏʦ¶ªÈËÁË
26Â¥2017-09-25 22:34:20
ÒÑÔÄ   »Ø¸´´ËÂ¥   ¹Ø×¢TA ¸øTA·¢ÏûÏ¢ ËÍTAºì»¨ TAµÄ»ØÌû

Pasadena

Ìú³æ (ÕýʽдÊÖ)


ÒýÓûØÌû:
4Â¥: Originally posted by zuiaixuexi at 2017-09-22 20:15:22
×£ºÃÔË

À¢¶Ô¿Æ´ó°¡
27Â¥2017-09-25 22:34:44
ÒÑÔÄ   »Ø¸´´ËÂ¥   ¹Ø×¢TA ¸øTA·¢ÏûÏ¢ ËÍTAºì»¨ TAµÄ»ØÌû

Pasadena

Ìú³æ (ÕýʽдÊÖ)


ÒýÓûØÌû:
6Â¥: Originally posted by ·ïÃÃ6Ô at 2017-09-22 20:32:16
²»´í

ºÃºÃÑÐϰÁËһϸ߼¶ÓлúºÏ³É£¬·¢ÏÖÌâÄ¿»¹ÊÇÏ൱ÄѵÄ
28Â¥2017-09-25 22:35:45
ÒÑÔÄ   »Ø¸´´ËÂ¥   ¹Ø×¢TA ¸øTA·¢ÏûÏ¢ ËÍTAºì»¨ TAµÄ»ØÌû

Pasadena

Ìú³æ (ÕýʽдÊÖ)


ÒýÓûØÌû:
7Â¥: Originally posted by Ñ©±ù±ù±ù at 2017-09-22 20:33:09
û¿´¶®

˵Ã÷Ä㻹ÐèÒªÔÙ½ÓÔÙÀ÷°¡
29Â¥2017-09-25 22:36:03
ÒÑÔÄ   »Ø¸´´ËÂ¥   ¹Ø×¢TA ¸øTA·¢ÏûÏ¢ ËÍTAºì»¨ TAµÄ»ØÌû

Pasadena

Ìú³æ (ÕýʽдÊÖ)


ÒýÓûØÌû:
8Â¥: Originally posted by crazydr at 2017-09-22 20:44:44
¿´²»¶®

ºÃºÃѧϰ£¬ÓлúÕâ¿é»¹ÓкܴóµÄ·¢Õ¹¿Õ¼ä
30Â¥2017-09-25 22:36:27
ÒÑÔÄ   »Ø¸´´ËÂ¥   ¹Ø×¢TA ¸øTA·¢ÏûÏ¢ ËÍTAºì»¨ TAµÄ»ØÌû

Pasadena

Ìú³æ (ÕýʽдÊÖ)


ÒýÓûØÌû:
12Â¥: Originally posted by Gongyou at 2017-09-22 21:00:55
À÷º¦ÁË

×÷Ϊ¿Æ´óµÄ±ÏÒµÉú£¬ÎÒ»¹ÊdzÉÁ˹þ·ð²©Ê¿µÄÅÚ»Ò
31Â¥2017-09-25 22:37:06
ÒÑÔÄ   »Ø¸´´ËÂ¥   ¹Ø×¢TA ¸øTA·¢ÏûÏ¢ ËÍTAºì»¨ TAµÄ»ØÌû

Pasadena

Ìú³æ (ÕýʽдÊÖ)


ÒýÓûØÌû:
14Â¥: Originally posted by shaohe2013 at 2017-09-22 21:11:35
½²½²ß£¬ÈÃÎÒÃÇĤ°ÝÒ»ÏÂ

ÌâÌ«ÄÑ£¬ÎÒÏÖÔÚÒ²Ö»ÊÇÂÔ¶®Ò»°ã£¬ÆäÓàµÄÖ»ÓÐÏòµ±ÄêµÄ¸ß¼¶ÓлúºÏ³ÉÀÏʦÇë½ÌÁË
32Â¥2017-09-25 22:38:11
ÒÑÔÄ   »Ø¸´´ËÂ¥   ¹Ø×¢TA ¸øTA·¢ÏûÏ¢ ËÍTAºì»¨ TAµÄ»ØÌû

Pasadena

Ìú³æ (ÕýʽдÊÖ)


ÒýÓûØÌû:
18Â¥: Originally posted by shuirong at 2017-09-22 22:44:13
û¿´¶®

»¹ÐèҪŬÁ¦°¡
33Â¥2017-09-25 22:38:23
ÒÑÔÄ   »Ø¸´´ËÂ¥   ¹Ø×¢TA ¸øTA·¢ÏûÏ¢ ËÍTAºì»¨ TAµÄ»ØÌû

Pasadena

Ìú³æ (ÕýʽдÊÖ)


ÒýÓûØÌû:
19Â¥: Originally posted by legong at 2017-09-22 22:52:43
Õâ¸öÃæÊÔºÜÓÐÌôÕ½°¡£¬¿ÉÓлú»¯Ñ§£¬ÎÒ±íʾû¿´¶®¡£²»¹ýÂ¥Ö÷£¬ÄãÒ²ÊÕ»ñÁ˾­ÑéÄØ£¬¼ÓÓÍ

×î½üºÃºÃÑÐϰÁËһϸߵÈÓлúºÏ³É£¬·¢ÏÖ×Ô¼ºµÄºÜ¶àÖ»ÊÇȷʵÒÅÍüÁË£¬ÐèÒªÖØÊ°Ò»Ï¡£²»¹ýÕâ¾Å¸öÌâĿȷʵͦÄѵ쬵½Ä¿Ç°ÎªÖ¹£¬ÎÒÒ²²»¹ýŪÇå³þÁËÎåµÀÌâÄ¿¶øÒÑ¡£
34Â¥2017-09-25 22:39:47
ÒÑÔÄ   »Ø¸´´ËÂ¥   ¹Ø×¢TA ¸øTA·¢ÏûÏ¢ ËÍTAºì»¨ TAµÄ»ØÌû

ÄäÃû


±¾Ìû½öÂ¥Ö÷¿É¼û
35Â¥2017-09-25 23:42:22
ÒÑÔÄ   ÉêÇëDIY-EPI   »Ø¸´´ËÂ¥   ±à¼­   ²é¿´ÎÒµÄÖ÷Ò³
¼òµ¥»Ø¸´
nono20095Â¥
2017-09-22 20:18   »Ø¸´  
Pasadena(½ð±Ò+1): лл²ÎÓë
¡£ ·¢×ÔСľ³æAndroid¿Í»§¶Ë
2017-09-22 20:49   »Ø¸´  
Pasadena(½ð±Ò+1): лл²ÎÓë
¶¥ ·¢×ÔСľ³æAndroid¿Í»§¶Ë
dongmings10Â¥
2017-09-22 20:50   »Ø¸´  
Pasadena(½ð±Ò+1): лл²ÎÓë
·¢×ÔСľ³æIOS¿Í»§¶Ë
nicenicey11Â¥
2017-09-22 20:52   »Ø¸´  
Pasadena(½ð±Ò+1): лл²ÎÓë
·¢×ÔСľ³æAndroid¿Í»§¶Ë
zhaoyan197813Â¥
2017-09-22 21:09   »Ø¸´  
Pasadena(½ð±Ò+1): лл²ÎÓë
·¢×ÔСľ³æAndroid¿Í»§¶Ë
Isaac-Fu15Â¥
2017-09-22 22:17   »Ø¸´  
Pasadena(½ð±Ò+1): лл²ÎÓë
666 ·¢×ÔСľ³æIOS¿Í»§¶Ë
103062354320Â¥
2017-09-22 23:29   »Ø¸´  
Pasadena(½ð±Ò+1): лл²ÎÓë
sz_kebaoyuan21Â¥
2017-09-22 23:40   »Ø¸´  
Pasadena(½ð±Ò+1): лл²ÎÓë
Ïà¹Ø°æ¿éÌø×ª ÎÒÒª¶©ÔÄÂ¥Ö÷ Pasadena µÄÖ÷Ìâ¸üÐÂ
×î¾ßÈËÆøÈÈÌûÍÆ¼ö [²é¿´È«²¿] ×÷Õß »Ø/¿´ ×îºó·¢±í
[¿¼ÑÐ] 0854µç×ÓÐÅÏ¢319Çóµ÷¼Á£¨½ÓÊÜ¿çרҵµ÷¼Á£© +5 ÐÇÐDz»Õ£ÑÛà¶ 2026-04-05 6/300 2026-04-07 22:16 by hemengdong
[¿¼ÑÐ] 284Çóµ÷¼Á +13 èó@@ 2026-04-06 13/650 2026-04-07 21:53 by l_paradox
[¿¼ÑÐ] 285Çóµ÷¼Á +11 AZMK 2026-04-05 17/850 2026-04-07 19:05 by ÖзÉÔº¿Õ¹ÜѧԺÑ
[¿¼ÑÐ] ÉúÎïÒ½Ò©µ÷¼Á£üSCIÖпÆÔºÈýÇøÒ»×÷+¶àÏî¿ÆÑгɹû +7 likangxing 2026-04-07 10/500 2026-04-07 17:09 by Ëï¿¡¿¡
[¿¼ÑÐ] Ò»Ö¾Ô¸±±¾©2£¬²ÄÁÏÓ뻯¹¤308Çóµ÷¼Á +16 ÐܶþÏëÉϰ¶ 2026-04-04 17/850 2026-04-07 14:58 by BruceLiu320
[¿¼ÑÐ] 085600£¬321·ÖÇóµ÷¼Á +14 ´ó²öС×Ó 2026-04-04 15/750 2026-04-06 22:58 by qlm5820
[¿¼ÑÐ] 285Çóµ÷¼Á +5 mapmath 2026-04-06 6/300 2026-04-06 17:18 by À¶ÔÆË¼Óê
[¿¼ÑÐ] ²ÄÁϵ÷¼Á +14 Ò¼·¡·¡ÒÚ 2026-04-04 14/700 2026-04-05 23:31 by À´¿´Á÷ÐÇÓê10
[¿¼ÑÐ] ÉúÎïÓëÒ½Ò©086000µ÷¼ÁÒ»Ö¾Ô¸Î÷±±Å©ÁÖ320·Ö +3 ÃÀÃÀŮʿ 2026-04-03 3/150 2026-04-05 21:55 by ѧԱ8dgXkO
[¿¼ÑÐ] Çóµ÷¼Á +10 Hllºú 2026-04-04 10/500 2026-04-05 20:09 by nepu_uu
[¿¼ÑÐ] 083200 333Çóµ÷¼Á +3 Ê®¶þ£¡£¡ 2026-04-04 3/150 2026-04-05 08:28 by barlinike
[¿¼ÑÐ] ²ÄÁϵ÷¼Á +10 ÀÁÑòÑòÇáÖÃÓñÍÎ 2026-04-02 11/550 2026-04-04 21:56 by laoshidan
[¿¼ÑÐ] 309Çóµ÷¼Á +6 ÁõÁõÁõ1231 2026-04-02 7/350 2026-04-04 13:41 by liucky
[¿¼ÑÐ] ²ÄÁϵ÷¼Á +11 ÎâèùÓ±£¡ 2026-04-03 11/550 2026-04-04 09:56 by ССÊ÷2024
[¿¼ÑÐ] Êý¶þÓ¢¶þ348Çóµ÷¼Á +4 hxdzj1 2026-04-03 5/250 2026-04-03 21:25 by zhq0425
[¿¼ÑÐ] Çóµ÷¼Á +8 akdhjs 2026-04-03 8/400 2026-04-03 18:17 by ´÷άING
[¿¼ÑÐ] 085501Ò»Ö¾Ô¸Ì칤´ó£¬»úеר˶Çóµ÷¼Á£¬¿ç²ÄÁÏ +3 33ÉÏ 2026-04-03 3/150 2026-04-03 14:08 by 1753564080
[¿¼ÑÐ] 321Çóµ÷¼Á +17 y-yh 2026-04-01 20/1000 2026-04-03 12:57 by y-yh
[¿¼ÑÐ] ½¨»·£¬ÄÜÔ´£¬ÍÁľÀÏʦ·¹ý¿´Ò»¿´£¡£¡£¡ +5 ºÙºÙuu 2026-04-01 5/250 2026-04-03 11:47 by znian
[¿¼ÑÐ] 349Çóµ÷¼Á +6 ³ÔµÄ²»ÉÙ 2026-04-01 6/300 2026-04-01 17:55 by JYD2011
ÐÅÏ¢Ìáʾ
ÇëÌî´¦ÀíÒâ¼û