| ²é¿´: 1173 | »Ø¸´: 4 | ||
ËÕËÕËÕ1994гæ (³õÈëÎÄ̳)
|
[ÇóÖú]
Ë«²ãʯīϩÄÜ´øÎÊÌâ
|
|
ÕâÊÇÎÒµÄ×ÔÇ¢£¬ÇëÎÊÊÇÄÄÀïµÄÎÊÌ⣿ÄÜ´øÅܳöÀ´ÊÇÕâÑù &control calculation = 'scf' restart_mode='from_scratch', prefix='cc', tstress = .true. tprnfor = .true. pseudo_dir = '~/lz/pseudo', / &system ibrav=4 celldm(1)=4.663845934,celldm(3)=6.076985413 nat=4,ntyp=1,ecutwfc=50 occupations='smearing', smearing='marzari-vanderbilt', degauss=0.02 nbnd=12 / &electrons diagonalization='david' mixing_beta = 0.7 conv_thr = 1.0d-12 / ATOMIC_SPECIES C 12.017 C.pbe-mt_fhi.UPF ATOMIC_POSITIONS {crystal} C 0.000000000 0.000000000 0.000000000 C 0.333333333 0.666666667 0.000000000 C 0.000000000 0.000000000 0.500000000 C 0.666666667 0.333333333 0.500000000 K_POINTS {automatic} 30 30 1 0 0 0 ·¢×ÔСľ³æIOS¿Í»§¶Ë |
» ²ÂÄãϲ»¶
¹¤¿Æ²ÄÁÏ085601 279Çóµ÷¼Á
ÒѾÓÐ8È˻ظ´
317Çóµ÷¼Á
ÒѾÓÐ8È˻ظ´
Ò»Ö¾Ô¸Äϲý´óѧ£¬327·Ö£¬²ÄÁÏÓ뻯¹¤085600
ÒѾÓÐ5È˻ظ´
274Çóµ÷¼Á
ÒѾÓÐ7È˻ظ´
317Çóµ÷¼Á
ÒѾÓÐ9È˻ظ´
ÕÐÊÕµ÷¼Á˶ʿ
ÒѾÓÐ11È˻ظ´
286·ÖÈ˹¤ÖÇÄÜרҵÇëÇóµ÷¼ÁÔ¸Òâ¿ç¿¼£¡
ÒѾÓÐ4È˻ظ´
¡¾¿¼Ñе÷¼Á¡¿»¯Ñ§×¨Òµ 281·Ö£¬Ò»Ö¾Ô¸ËÄ´¨´óѧ£¬³ÏÐÄÇóµ÷¼Á
ÒѾÓÐ6È˻ظ´
Ò»Ö¾Ô¸¼ªÁÖ´óѧ²ÄÁÏѧ˶321Çóµ÷¼Á
ÒѾÓÐ14È˻ظ´
²ÄÁÏѧ˶297ÒѹýËÄÁù¼¶Çóµ÷¼ÁÍÆ¼ö
ÒѾÓÐ5È˻ظ´
» ±¾Ö÷ÌâÏà¹ØÉ̼ÒÍÆ¼ö: (ÎÒÒ²ÒªÔÚÕâÀïÍÆ¹ã)
» ±¾Ö÷ÌâÏà¹Ø¼ÛÖµÌùÍÆ¼ö£¬¶ÔÄúͬÑùÓаïÖú:
Ïû³ý´ß»¯Áã»Ø¸´£¬¸Ðл³æÓÑÀ´½»Á÷(Ê®ËÄ£©
ÒѾÓÐ7È˻ظ´
¹ØÓÚSiCÉϵ¥²ãʯīϩÐγÉbuffer layerµÄÉù×ӯ׵ļÆËãÎÊÌâ
ÒѾÓÐ12È˻ظ´
ʯīϩÓëË«²ãʯīµÄÄ£Ä⣬´ó¼Ò¿´¿´£¬ÓÐʲôÎÊÌâÂð¡£
ÒѾÓÐ0È˻ظ´
Ë«²ãʯīϩµÄÄÜ´ø¡¢pdos¡¢ÒÔ¼°²î·ÖµçºÉÃܶÈ
ÒѾÓÐ5È˻ظ´
¡¾¹«¸æ¡¿Î¢Ã×ÄÉÃ×°æ×¨¼Ò½éÉܼ°¹ËÎÊÊÒÁ´½Ó[20120909¸üÐÂ]
ÒѾÓÐ11È˻ظ´
¡¾ÌÖÂÛ¡¿´ÓʯīϩµÃ½±Ïë³öÈ¥
ÒѾÓÐ9È˻ظ´
¡¾ÌÖÂÛ¡¿´ÓʯīϩµÃ½±Ïë³öÈ¥
ÒѾÓÐ15È˻ظ´
¡¾½»Á÷¡¿´ÓʯīϩµÃ½±Ïë³öÈ¥
ÒѾÓÐ2È˻ظ´
¡¾ÇóÖú¡¿£¨Ê¯Ä«Ï©£©½ôÊø¸¿Ä£ÐÍÏµļ¸¸öÎÊÌâ
ÒѾÓÐ3È˻ظ´
ËÕËÕËÕ1994
гæ (³õÈëÎÄ̳)
- Ó¦Öú: 0 (Ó×¶ùÔ°)
- ½ð±Ò: 28
- Ìû×Ó: 4
- ÔÚÏß: 23·ÖÖÓ
- ³æºÅ: 6852109
- ×¢²á: 2017-06-26
- ÐÔ±ð: MM
- רҵ: Äý¾Û̬ÎïÐÔ II £ºµç×ӽṹ
|
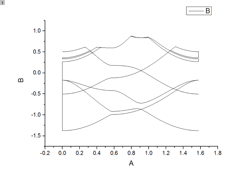
ÕâÊÇÄÜ´ø &control calculation='bands' restart_mode='from_scratch', pseudo_dir = '~/lz/pseudo/', prefix='cc' tprnfor = .true. tstress = .true. / &system ibrav=4 celldm(1)=4.663845934,celldm(3)=6.076985413 nat=4,ntyp=1,ecutwfc=50 occupations='smearing', smearing='marzari-vanderbilt', degauss=0.02 nbnd = 12 / &electrons diagonalization='david' mixing_beta = 0.7 conv_thr = 1.0d-12 / ATOMIC_SPECIES C 12.017 C.pbe-mt_fhi.UPF ATOMIC_POSITIONS crystal C 0.000000000 0.000000000 0.000000000 C 0.333333333 0.666666667 0.000000000 C 0.000000000 0.000000000 0.500000000 C 0.666666667 0.333333333 0.500000000 K_POINTS crystal_b 4 0 0 0 200 0.5 0 0 200 0.6666667 -0.3333333 0 200 0 0 0 10 ·¢×ÔСľ³æIOS¿Í»§¶Ë |
2Â¥2017-09-19 19:59:55
ËÕËÕËÕ1994
гæ (³õÈëÎÄ̳)
- Ó¦Öú: 0 (Ó×¶ùÔ°)
- ½ð±Ò: 28
- Ìû×Ó: 4
- ÔÚÏß: 23·ÖÖÓ
- ³æºÅ: 6852109
- ×¢²á: 2017-06-26
- ÐÔ±ð: MM
- רҵ: Äý¾Û̬ÎïÐÔ II £ºµç×ӽṹ
3Â¥2017-09-20 14:47:13
1175535192
гæ (³õÈëÎÄ̳)
- Ó¦Öú: 0 (Ó×¶ùÔ°)
- ½ð±Ò: 1182
- Ìû×Ó: 47
- ÔÚÏß: 62.8Сʱ
- ³æºÅ: 4859288
- ×¢²á: 2016-07-21
- רҵ: ÖÇÄܲÄÁÏ
4Â¥2017-10-18 14:34:46
·öÉ£´ó×Úʦ
гæ (³õÈëÎÄ̳)
- Ó¦Öú: 0 (Ó×¶ùÔ°)
- ½ð±Ò: 191.9
- É¢½ð: 50
- ɳ·¢: 1
- Ìû×Ó: 15
- ÔÚÏß: 11.5Сʱ
- ³æºÅ: 5246618
- ×¢²á: 2016-11-16
- רҵ: °ëµ¼ÌåÎïÀí
5Â¥2017-12-11 12:21:08













»Ø¸´´ËÂ¥