| 查看: 645 | 回复: 0 | |||
[交流]
机械稳定性判据能否判断化学反应的晶体的稳定性
|
|
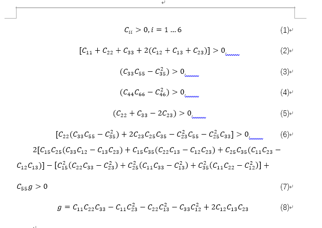
机械稳定性判据能否判断发生化学反应的晶体的稳定性呀,比如翡翠高压下分解成了两种成分,属于化学变化了(个人理解),那这个稳定性判据还能不能使用呀?这个反应也属于相变吗?弹性常数的稳定性判据如下图 虽然是第一次发帖,但只有两个金币了,太久没联系导师,怕他问起我啥也没做。。。没敢问。在这里谢谢大家了 ![]() 判据.PNG 捕获2.PNG |
» 猜你喜欢
求助
已经有1人回复
0703化学26考研调剂,一志愿南昌大学
已经有5人回复
无机化学论文润色/翻译怎么收费?
已经有214人回复
有没有化学、材料专业的同学需要调剂 考虑天津高效的可以邮件或者私信
已经有1人回复
26年博士招生
已经有16人回复
江西理工大学功能晶态材料方向刘遂军课题组招收2026年秋季入学博士研究生
已经有11人回复
宁夏大学团簇新材料团队招收材料/化学/化工专业博士生
已经有0人回复
MIL-101有单晶样品吗
已经有1人回复
已删除
已经有3人回复
收调剂研究生
已经有2人回复
【2026 考研调剂】哈尔滨工程大学核科学与技术学院核化工系 招收调剂生
已经有2人回复















回复此楼