| ²é¿´: 2756 | »Ø¸´: 4 | ||||
zhaomanamanÌú³æ (³õÈëÎÄ̳)
|
[½»Á÷]
»ùÓÚUIDLºÍAPDLµÄANSYS¶þ´Î¿ª·¢ÊµÀý£ºANSYS-SwiftComp GUI ÒÑÓÐ1È˲ÎÓë
|
|
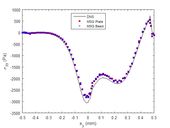
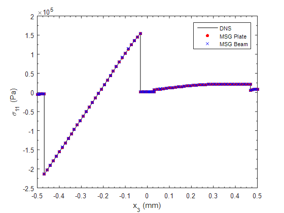
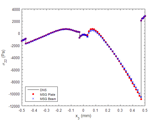
±¾ÎĽéÉÜÒ»¸ö»ùÓÚUIDLºÍAPDLµÄANSYS¶þ´Î¿ª·¢ÊµÀý£ºANSYS-SwiftComp GUI¡£SwiftCompÊÇAnalySwift¹«Ë¾µÄÈí¼þ£¬¿ÉÒÔÓÃÓÚ¸´ºÏ²ÄÁÏ·ÂÕæ¡£ ±¾ÎÄÔËÓÃUIDLºÍAPDL£¬ÔÚANSYSÀïΪSwiftComp´´½¨ÁËÓû§½çÃæ£¬ÈçÏÂͼËùʾ£º£¨Ð´´½¨µÄ²Ëµ¥ÓɺìÉ«·½¿ò¿ò³ö£©(ûÓÐÏÔʾµÄͼƬͨ¹ý¸½¼þÉÏ´«ÁË) ![]() д´ÐµIJ˵¥ÓУºCommon SGs, Homogenization, Dehomogenization ËüÃÇÔÚMain MenuÀïµÄÏÔʾÓÉUIDL¿ØÖÆ£¬¶ÔÓ¦µÄUIDLÎļþÈçÏÂͼËùʾ£º ![]() д´½¨µÄ¹¦ÄÜÓУº1D SG: Fast Generate, Advanced Generate, Input File. 2D SG: Beam Section, Square Pack, Hexagonal Pack. 3D SG: Square Pack, Spherical Inclusion, Honeycomb. Homogenization: Beam Model, Plate/Shell Model, Solid Model. Dehomogenization: Beam Model, Plate/Shell Model, Solid Model. ËüÃǹ¦ÄܵÄʵÏÖÓÉAPDL¿ØÖÆ£¬¶ÔÓ¦µÄAPDLÎļþÈçÏÂͼËùʾ£º ![]() ANSYS-SwiftComp GUI¿ÉÒÔÓÃÓÚ¶à³ß¶È½á¹¹·ÂÕæ£¬¶Ô¸´ºÏ²ÄÁÏ·ÂÕæÌØ±ðºÏÊÊ¡£ Õâ¸ö¶þ´Î¿ª·¢ËùÓеÄÎļþºÍ˵Ã÷£¬¾ù¿ÉÒÔÔÚcdmHUBÉÏÃâ·ÑÏÂÔØ£¨ÐèҪע²á£©£ºhttps://cdmhub.org/resources/1136 ANSYS-SwiftComp GUIµÄ½éÉܺÍʵÀý¿ÉÒÔÔÚÎÒµÄÁìÓ¢Éϲ鿴£ºhttps://www.linkedin.com/pulse/a ... deling-banghua-zhao ÏÂÃæÍ¨¹ýÒ»¸öʵÀý½éÉÜANSYS-SwiftComp GUI£º Example Problem ANSYS-SwiftComp GUI in principle can be used for multiscale constitutive modeling of any structures. We are using a simple example to demonstrate some of its features. As shown in Figure 2, an artificial, unidirectional fiber reinforced composite is made of graphite fiber and epoxy matrix. The fiber can be assumed to be transversely isotropic with E1 = 276 GPa, E2 = E3 = 19.5 GPa, G12 = G13 = 70 GPa, ¦Í12 = ¦Í13 = 0.28, ¦Í23 = 0.70. The epoxy matrix can be assumed to be isotropic with E = 4.76 GPa and ¦Í = 0.37. A laminate is made of a 0-degree ply on the bottom and a 90-degree ply on the top. Assuming the bottom layer contains 10 fibers and the top layer contains 50 fibers. The microstructure can be assumed as square packing with fiber volume fraction equal to 60%. Note the lines between unit cells in Figure 2 are artificial and they are used to show the unit cell. The length of the laminate is 25 mm, and the width is 5 mm, and the thickness of each layer is 0.5 mm. It is clamped at one end and free at the other end. It is subject to 100 Pa pressure on the top surface. ![]() Figure 2 Example problem ANSYS-SwiftComp GUI is used to solve this problem. There are two ways to attack this problem by MSG and its companion code SwiftComp™: Classical Plate Model and Classical Beam Model. For each way, the detail steps of modeling and analysis are given. Classical Plate Model: Using MSG, the original problem is decoupled, as shown in Figure 3, into a constructive modeling over a 3D SG (left) and a structural analysis of a plate (right). ![]() Figure 3 3D SG and structural analysis for classical plate model The detailed steps are given in the following: First, create the 3D SG. Then, use ANSYS-SwiftComp GUI to performed homogenization: Solution ¡ú Homogenization ¡ú Plate/Shell Model. Use default parameter. A screenshot is shown in Figure 4. ![]() Figure 4 Homogenization for Plate/Shell Model Next, create plate model and read result from homogenization to perform the plate analysis Next, use ANSYS-SwiftComp GUI to performed dehomogenization: Solution ¡ú Dehomogenization ¡ú Plate/Shell Model. Input global response from the previous step. A screenshot is shown in Figure 5. ![]() Figure 5 Dehomogenization for Plate/Shell Model The contour plot for the nodal solution of Von Mises stress result is shown in Figure 6. ![]() Figure 6 Contour Plot of Nodal Von Mises Stress Classical Beam Model: Using MSG, the original problem is decoupled, as shown in Figure 7, into a constructive modeling over the 3D SG (left) and a structural analysis of a beam (right). ![]() Figure 7 3D SG and structural analysis for classical beam model The detailed steps are given in the following: First, create the 3D SG. Then, use ANSYS-SwiftComp GUI to performed homogenization: Solution ¡ú Homogenization ¡ú Beam Model. Use default parameter. A screenshot is shown in Figure 8. ![]() Figure 8 Homogenization for Beam Model Next, create beam model and read the result from homogenization to perform global beam analysis. Next, use ANSYS-SwiftComp GUI to performed dehomogenization: Solution ¡ú Dehomogenization ¡ú Beam Model. Input global response from the previous step. A screenshot is shown in Figure 9. ![]() Figure 9 Dehomogenization for Beam Model The contour plot for the nodal solution of Von Mises stress result is shown in Figure 10. ![]() Figure 10 Contour Plot of Nodal Von Mises Stress Results and Discussion The comparisons of stress sigma11, sigma22 and sigma33 (along the path (12.75, 0.25, x3) in DNS) are shown from Figure 11 to Figure 13. As we can see, both MSG plate and MSG beam agree very well with DNS. Note, the current model for DNS has around 8 million DOFs, which needs 1 day for calculation with 16 CPUs. However, both MSG plate and MSG beam only take less than a minute for computation. ![]() Figure 11 Comparison of sigma11 along path (12.75, 0.25, x3) ![]() Figure 12 Comparison of sigma22 along path (12.75, 0.25, x3) ![]() Figure 13 Comparison of sigma33 along path (12.75, 0.25, x3) Èç¹û´ó¼Ò¾õµÃÕâ¸ö¶þ´Î¿ª·¢ÓаïÖú£¬Çë¸øÎÒµÄÁìÓ¢ÎÄÕµã¸öÔÞ°É£ºhttps://www.linkedin.com/pulse/a ... deling-banghua-zhao ´ó¼ÒÓÐʲôÎÊÌ⣬»¶ÓºÍÎÒÌÖÂÛ£¬ÎһἰʱÓèÒԻشð£¬ÎÊÌâÒ²¿ÉÒÔÌáÔÚÕâÀhttps://cdmhub.org/groups/yugroup/forum Figure 1.png Figure 2.png Figure 3.png Figure 4.png Figure 5.png Figure 6.PNG Figure 7.png Figure 8.png Figure 9.png Figure 10.PNG Figure 11.png Figure 12.png Figure 13.png |
» ÊÕ¼±¾ÌûµÄÌÔÌûר¼ÍƼö
ÓÐÏÞÔª |
» ²ÂÄãϲ»¶
»¯Ñ§µ÷¼ÁÇóÖú
ÒѾÓÐ14È˻ظ´
²ÄÁÏÀà284µ÷¼Á
ÒѾÓÐ12È˻ظ´
²ÄÁÏ¿¼ÑÐÇóµ÷¼Á×Ü·Ö280
ÒѾÓÐ31È˻ظ´
325·Ö»¯Ñ§µ÷¼Á
ÒѾÓÐ9È˻ظ´
Óб¬ÁÏ£¬Ò»¸öÇàÄê½ÌʦÂô·¿µÃ400Íò£¬È»ºó»»ÁËÒ»¸öËÄÇàñ×Ó
ÒѾÓÐ4È˻ظ´
Ò»Ö¾Ô¸211£¬0703»¯Ñ§305·ÖÇóµ÷¼Á
ÒѾÓÐ21È˻ظ´
0703»¯Ñ§µ÷¼Á 348·Ö
ÒѾÓÐ15È˻ظ´
0703»¯Ñ§Çóµ÷¼Á
ÒѾÓÐ6È˻ظ´
368»¯Ñ§Çóµ÷¼Á
ÒѾÓÐ7È˻ظ´
±¾¿Æ211£¬293·ÖÇëÇóµ÷¼Á
ÒѾÓÐ12È˻ظ´
» ±¾Ö÷ÌâÏà¹ØÉ̼ÒÍÆ¼ö: (ÎÒÒ²ÒªÔÚÕâÀïÍÆ¹ã)
ºÎ²»¹é¾ÓÓÄÄÏ
гæ (³õÈëÎÄ̳)
- Ó¦Öú: 0 (Ó×¶ùÔ°)
- ½ð±Ò: 43.1
- Ìû×Ó: 10
- ÔÚÏß: 5.4Сʱ
- ³æºÅ: 4474644
- ×¢²á: 2016-03-07
- ÐÔ±ð: GG
2Â¥2017-10-24 16:48:29
ºÎ²»¹é¾ÓÓÄÄÏ
гæ (³õÈëÎÄ̳)
- Ó¦Öú: 0 (Ó×¶ùÔ°)
- ½ð±Ò: 43.1
- Ìû×Ó: 10
- ÔÚÏß: 5.4Сʱ
- ³æºÅ: 4474644
- ×¢²á: 2016-03-07
- ÐÔ±ð: GG
¡ï
Сľ³æ: ½ð±Ò+0.5, ¸ø¸öºì°ü£¬Ð»Ð»»ØÌû
Сľ³æ: ½ð±Ò+0.5, ¸ø¸öºì°ü£¬Ð»Ð»»ØÌû
|
ÇëÎÊ£¬Äú¶Ô¸´ºÏ²ÄÁϸնÈÍË»¯µÄ¶þ´Î¿ª·¢ÓÐ×öÑо¿Â𣿠·¢×ÔСľ³æAndroid¿Í»§¶Ë |
3Â¥2017-10-24 16:49:44
zhaomanaman
Ìú³æ (³õÈëÎÄ̳)
- Ó¦Öú: 0 (Ó×¶ùÔ°)
- ½ð±Ò: 15
- Ìû×Ó: 5
- ÔÚÏß: 3Сʱ
- ³æºÅ: 2932107
- ×¢²á: 2014-01-14
- ÐÔ±ð: GG
- רҵ: ¿ØÖÆÀíÂÛÓë·½·¨
4Â¥2019-04-06 22:04:51
zhaomanaman
Ìú³æ (³õÈëÎÄ̳)
- Ó¦Öú: 0 (Ó×¶ùÔ°)
- ½ð±Ò: 15
- Ìû×Ó: 5
- ÔÚÏß: 3Сʱ
- ³æºÅ: 2932107
- ×¢²á: 2014-01-14
- ÐÔ±ð: GG
- רҵ: ¿ØÖÆÀíÂÛÓë·½·¨
5Â¥2019-04-06 22:06:05





























»Ø¸´´ËÂ¥
