版块导航
正在加载中...
客户端APP下载
论文辅导
调剂小程序
登录
注册
帖子
帖子
用户
本版
应《网络安全法》要求,自2017年10月1日起,未进行实名认证将不得使用互联网跟帖服务。为保障您的帐号能够正常使用,请尽快对帐号进行手机号验证,感谢您的理解与支持!
24小时热门版块排行榜
>
论坛更新日志
(567)
>
虫友互识
(50)
>
导师招生
(24)
>
文献求助
(19)
>
休闲灌水
(11)
>
硕博家园
(9)
>
考研
(8)
>
博后之家
(5)
>
论文道贺祈福
(5)
>
考博
(5)
>
论文投稿
(5)
>
基金申请
(4)
>
教师之家
(4)
>
找工作
(3)
>
公派出国
(3)
>
复合材料
(1)
小木虫论坛-学术科研互动平台
»
材料区
»
晶体
»
ccdc查询
»
CCDC查询求助,请大神帮忙
19
1/1
返回列表
查看: 317 | 回复: 18
只看楼主
@他人
存档
新回复提醒
(忽略)
收藏
在APP中查看
915621CNN
新虫
(小有名气)
应助: 0
(幼儿园)
金币: 2829.5
帖子: 206
在线: 55.7小时
虫号: 2014375
已领完
CCDC查询求助,请大神帮忙
领取红包
(小木虫手机app专属红包)
扫一扫,下载小木虫客户端
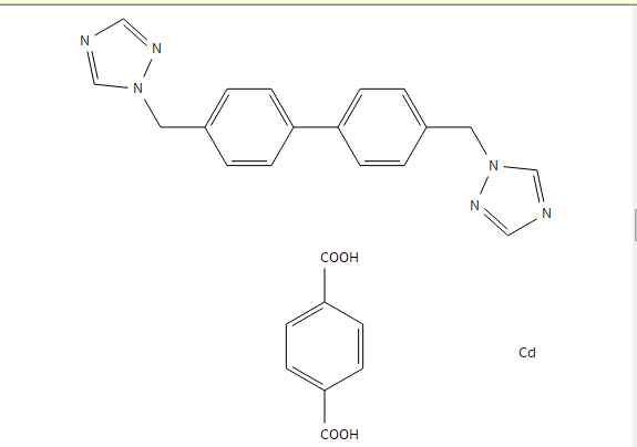
请问一下这个配合物有没有重复的,请大神帮忙?
发自小木虫Android客户端
回复此楼
» 猜你喜欢
中南大学易小艺课题组诚招2026申请-考核制博士生
已经有0人回复
海南师范大学招收化学博士(光电功能材料课题组招收博士研究生)
已经有11人回复
无机化学论文润色/翻译怎么收费?
已经有54人回复
求助几个团簇的cif
已经有0人回复
急求该反应的详细机理
已经有5人回复
【Ei | Scopus 双检索】2026年智能交通与未来出行国际会议(CSTFM 2026)
已经有0人回复
【EI|Scopus 双检索】2026年第六届机器人与人工智能国际会议(JCRAI 2026)
已经有0人回复
zotero的advanced material模板没有更新,有人有新版的cls文件吗
已经有2人回复
【高校联合举办】2026年第五届服务机器人国际会议(ICoSR 2026)
已经有0人回复
高级回复
» 本主题相关价值贴推荐,对您同样有帮助:
晶体数据求助
已经有0人回复
» 抢金币啦!回帖就可以得到:
查看全部散金贴
西湖大学2026年秋季入学物理学、光学、电子信息方向博士生有名额速来!!!
+
2
/224
西湖大学拓扑光学、非厄米光学、太赫兹方向博士后招聘
+
2
/220
人间烟火,实则就是追求最简单的快乐
+
1
/74
一个陌生女人的来信
+
1
/74
国家级青年人才课题组招收2026级硕士研究生
+
1
/40
海南大学海洋技术与装备学院-科研助理招聘(可读博)膜分离水处理方向
+
1
/34
清华大学深圳国际研究生院招聘-博士后(长期有效)
+
1
/34
南京医科大学国家级高层次青年人才团队招收博士后
+
1
/17
澳大利亚麦考瑞大学(Macquarie University)国际博士硕士全额奖学金-计算机-26年中开学
+
1
/15
上海交通大学-宁波东方理工大学联合培养博士生 – 力学
+
1
/14
墨尔本大学(QS13)招全奖博士、CSC资助博士/访问学者(生物医学材料/器官芯片等方向)
+
1
/8
全奖博士 英国利物浦大学 × 台湾清华大学 联合培养
+
1
/7
澳科大招收2026年秋季药物递送/生物材料方向硕士研究生(3月5日18:00报名截止)
+
1
/6
德国图宾根大学诚招全奖岗位制博士(地下流固化学反应耦合数值模拟方向)
+
1
/5
26博士申请
+
1
/5
澳科大药学院诚招2026年秋季药剂学/生物材料硕士研究生(2026年3月5日报名截止)
+
1
/4
广东省环境科学研究院招聘高分辨质谱方向博士一名
+
1
/4
代教授(南昌航空大学)招收CO2光&光热催化还原方向的博士生
+
1
/4
代教授(南昌航空大学)招收CO2光&光热催化还原方向的博士生
+
1
/3
大连海事大学船舶洁净能源研究中心2026年博士研究生招生启事
+
1
/1
1楼
2017-08-25 21:13:18
已阅
回复此楼
关注TA
给TA发消息
送TA红花
TA的回帖
简单回复
swedenchen
2楼
2017-08-25 21:13
回复
915621CNN(金币+4): 谢谢参与
已获得
4
个金币
发自小木虫Android客户端
pandongzi
3楼
2017-08-25 21:13
回复
915621CNN(金币+3): 谢谢参与
已获得
3
个金币
发自小木虫IOS客户端
学海无涯洲
4楼
2017-08-25 21:14
回复
915621CNN(金币+2): 谢谢参与
已获得
2
个金币
发自小木虫IOS客户端
cuiyuzhu1195
5楼
2017-08-25 21:15
回复
915621CNN(金币+1): 谢谢参与
已获得
1
个金币
发自小木虫Android客户端
2010wwj
6楼
2017-08-25 21:15
回复
915621CNN(金币+2): 谢谢参与
已获得
2
个金币
发自小木虫IOS客户端
小强精神
7楼
2017-08-25 21:15
回复
915621CNN(金币+5): 谢谢参与
已获得
5
个金币
发自小木虫Android客户端
jcajcazhzh
8楼
2017-08-25 21:16
回复
915621CNN(金币+5): 谢谢参与
已获得
5
个金币
发自小木虫Android客户端
ultramanwu
9楼
2017-08-25 21:16
回复
915621CNN(金币+3): 谢谢参与
已获得
3
个金币
发自小木虫Android客户端
-lizi
10楼
2017-08-25 21:16
回复
915621CNN(金币+2): 谢谢参与
已获得
2
个金币
发自小木虫IOS客户端
WinTey929
11楼
2017-08-25 21:16
回复
915621CNN(金币+1): 谢谢参与
已获得
1
个金币
发自小木虫Android客户端
wushuang 178
12楼
2017-08-25 21:16
回复
915621CNN(金币+3): 谢谢参与
已获得
3
个金币
发自小木虫IOS客户端
111TH
13楼
2017-08-25 21:19
回复
915621CNN(金币+2): 谢谢参与
已获得
2
个金币
发自小木虫IOS客户端
zhanghuannwu
14楼
2017-08-25 21:20
回复
915621CNN(金币+5): 谢谢参与
已获得
5
个金币
发自小木虫Android客户端
xiupeiyang
15楼
2017-08-25 21:21
回复
915621CNN(金币+1): 谢谢参与
已获得
1
个金币
发自小木虫IOS客户端
wyc0128
16楼
2017-08-25 21:22
回复
915621CNN(金币+5): 谢谢参与
已获得
5
个金币
发自小木虫Android客户端
QQ2189670388
17楼
2017-08-25 21:23
回复
915621CNN(金币+5): 谢谢参与
已获得
5
个金币
发自小木虫Android客户端
右手
18楼
2017-08-25 21:24
回复
915621CNN(金币+1): 谢谢参与
已获得
1
个金币
发自小木虫IOS客户端
zhenshijie88
19楼
2017-09-19 17:02
回复
相关版块跳转
材料综合
材料工程
微米和纳米
晶体
金属
无机非金属
生物材料
功能材料
复合材料
我要订阅楼主
915621CNN
的主题更新
19
1/1
返回列表
如果回帖内容含有宣传信息,请如实选中。否则帐号将被全论坛禁言
普通表情
龙
兔
虎
猫
高级回复
(可上传附件)
百度网盘
|
360云盘
|
千易网盘
|
华为网盘
在新窗口页面中打开自己喜欢的网盘网站,将文件上传后,然后将下载链接复制到帖子内容中就可以了。
信息提示
关闭
请填处理意见
关闭
确定