| ²é¿´: 1290 | »Ø¸´: 3 | ||||
chenwc319°æÖ÷
|
[ÇóÖú]
ÈçºÎÔÚ¶þÑõ»¯¹èÉÏÐÞÊÎôÈ»ù£¡£¡£¡¼±Ç󣡣¡£¡½ð±Ò¿ÉÒÔËæ±ã×·¼Ó ÒÑÓÐ1È˲ÎÓë
|
|
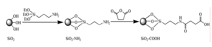
¶þÑõ»¯¹èÏȰ±»ù»¯£¬È»ºóÔÚÐÞÊÎÉÏôÈ»ù¡£ ÎÊÌâÒ»£ºµÚÒ»²½°±»ù»¯µÄʱºò£¬¶þÑõ»¯¹èºÍ3- °±±û»ù - ÈýÒÒÑõ»ù¹èÍ飨APTES£©Ó¦¸ÃÈçºÎ·´Ó³£¿Ö±½ÓÔÚÒÒ´¼Àï·´Ó¦¿ÉÒÔÂ𣿠ÎÊÌâ¶þ:¾ßÌåÓÃÁ¿Ó¦¸ÃÈçºÎ°ÑÎÕ¡£ÓÐûÓп¿Æ×µÄ·½·¨ºÍÎÄÏס£ 11111111111.png@jiagle |
» ²ÂÄãϲ»¶
2026ÄêÎ人·ÄÖ¯´óѧ¹ú¼Ò½ÜÇà¿ÎÌâ×éÕÐÊÕµ÷¼Á»¯Ñ§ ÉúÎï ҽѧ ʳƷ »·¾³Ñо¿Éú
ÒѾÓÐ16È˻ظ´
Î人·ÄÖ¯´óѧ-²ÄÁÏ¿ÆÑ§Ó빤³ÌѧԺ-½ªÎ°½ÜÇàÍŶÓ-ÕÐÉúÎï·½Ïòµ÷¼Á
ÒѾÓÐ0È˻ظ´
Óлú¸ß·Ö×Ó²ÄÁÏÂÛÎÄÈóÉ«/·ÒëÔõôÊÕ·Ñ?
ÒѾÓÐ234È˻ظ´
Î人·ÄÖ¯´óѧ-²ÄÁÏ¿ÆÑ§Ó빤³ÌѧԺ-ÕÐ ÉúÎï·½Ïò ˶ʿ£¡
ÒѾÓÐ0È˻ظ´
Î人·ÄÖ¯´óѧ-²ÄÁÏ¿ÆÑ§Ó빤³ÌѧԺ-½ªÎ°½ÜÇàÍŶÓ-ÕÐÉúÎï·½Ïòµ÷¼Á
ÒѾÓÐ0È˻ظ´
[Î人·ÄÖ¯´óѧ]²ÄÁÏѧԺ[½ªÎ°ÍŶÓÃû³Æ]¿ÎÌâ×é-2026Äê˶ʿÑо¿Éúµ÷¼ÁÐÅÏ¢
ÒѾÓÐ0È˻ظ´
Î人·ÄÖ¯´óѧ-²ÄÁÏ¿ÆÑ§Ó빤³ÌѧԺ-½ªÎ°½ÜÇàÍŶÓ-Õе÷¼Á
ÒѾÓÐ0È˻ظ´
ÉúÎïҽѧ²ÄÁÏÇ°ÑØ¿ÆÆÕ£ºµÍÃܶȡ¢¸ß¿×϶Âʵġ°¶à¿×΢Çò¡±ºËÐļ¼ÊõÓëÓ¦ÓÃÈ«¾°
ÒѾÓÐ1È˻ظ´
ºþÄϹ¤Òµ´óѧÖܹóÒú¿ÎÌâ×éÕÐÉúÎïҽѧ¹¤³Ì£¨07¡¢08¶¼ÐУ©ºÍÉúÎïÓëÒ½Ò©£¨0860£©Ë¶Ê¿Éú
ÒѾÓÐ0È˻ظ´
ºþÄϹ¤Òµ´óѧÖܹóÒú¿ÎÌâ×éÕÐÉúÎïҽѧ¹¤³Ì£¨07¡¢08¶¼ÐУ©ºÍÉúÎïÓëÒ½Ò©£¨0860£©Ë¶Ê¿Éú
ÒѾÓÐ0È˻ظ´
¿¼ÑÐÇóµ÷¼Á
ÒѾÓÐ0È˻ظ´
yangshu2000
°æÖ÷
![]()
![]()
![]()
![]()
- Ó¦Öú: 0 (Ó×¶ùÔ°)
- ½ð±Ò: 434.1
- É¢½ð: 5
- ºì»¨: 4
- Ìû×Ó: 162
- ÔÚÏß: 19.3Сʱ
- ³æºÅ: 6609882
- ×¢²á: 2017-05-26
- ÐÔ±ð: GG
- רҵ: Éñ¾ÉúÎïѧ
2Â¥2017-08-06 01:54:04
jiagle
гæ
-

ר¼Ò¾Ñé: +5165 - ICEPI: 166
- Ó¦Öú: 5678 (¸±½ÌÊÚ)
- ¹ó±ö: 2.513
- ½ð±Ò: 84732.4
- É¢½ð: 10041
- ºì»¨: 513
- Ìû×Ó: 8620
- ÔÚÏß: 1197.9Сʱ
- ³æºÅ: 1960227
- ×¢²á: 2012-08-28
- ÐÔ±ð: GG
- רҵ: ÎÞ»ú²ÄÁÏ»¯Ñ§
- ¹ÜϽ: ÎÞ»ú/Îﻯ
¡¾´ð°¸¡¿Ó¦Öú»ØÌû
¡ï ¡ï ¡ï ¡ï ¡ï ¡ï ¡ï ¡ï ¡ï ¡ï ¡ï ¡ï ¡ï ¡ï ¡ï ¡ï ¡ï ¡ï ¡ï ¡ï ¡ï ¡ï ¡ï ¡ï ¡ï ¡ï ¡ï ¡ï ¡ï ¡ï ¡ï ¡ï ¡ï ¡ï ¡ï ¡ï ¡ï ¡ï ¡ï ¡ï ¡ï ¡ï ¡ï ¡ï ¡ï ¡ï ¡ï ¡ï ¡ï ¡ï ¡ï ¡ï ...
¸Ðл²ÎÓ룬ӦÖúÖ¸Êý +1
±ùµã½µÎÂ: ½ð±Ò+1, ллר¼Ò»ØÌû½â´ð£¬ÐÁ¿àÀ²£¡ 2017-08-06 21:14:28
chenwc319(±ùµã½µÎ´ú·¢): ½ð±Ò+20 2017-08-06 21:14:34
chenwc319: ½ð±Ò+50, ¡ïÓаïÖú 2017-08-09 20:31:27
¸Ðл²ÎÓ룬ӦÖúÖ¸Êý +1
±ùµã½µÎÂ: ½ð±Ò+1, ллר¼Ò»ØÌû½â´ð£¬ÐÁ¿àÀ²£¡ 2017-08-06 21:14:28
chenwc319(±ùµã½µÎ´ú·¢): ½ð±Ò+20 2017-08-06 21:14:34
chenwc319: ½ð±Ò+50, ¡ïÓаïÖú 2017-08-09 20:31:27
| ¿ÉÒÔ¿¼ÂÇʹÓöþ°·NH2££¨CH2£©n£NH2£¨¹ýÁ¿£©Óë¶þÑõ»¯¹è±íÃæµÄ£OH×÷Ó㬼´°·»ù»¯£¬ÔÙÓöþÔªËáµÄËáôû×÷Óᣠ|
3Â¥2017-08-06 10:45:36
chenwc319
³¬¼¶°æÖ÷
![]()
![]()
![]()
![]()
- Ó¦Öú: 8 (Ó×¶ùÔ°)
- ½ð±Ò: 2897.9
- ºì»¨: 2
- Ìû×Ó: 361
- ÔÚÏß: 173.3Сʱ
- ³æºÅ: 1382553
- ×¢²á: 2011-08-29
- ÐÔ±ð: GG
- רҵ: ÎÞ»úºÏ³ÉºÍÖÆ±¸»¯Ñ§
4Â¥2017-08-07 09:49:55














»Ø¸´´ËÂ¥