| ²é¿´: 1266 | »Ø¸´: 12 | ||
vikyrustгæ (³õÈëÎÄ̳)
|
[ÇóÖú]
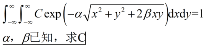
ÇóÖúÒ»¸öÈý½Çº¯ÊýµÄ»ý·Ö ÒÑÓÐ1È˲ÎÓë
|
|
|
|
||
| »ØÌûÖ§³Ö ( ÏÔʾ֧³Ö¶È×î¸ßµÄǰ 50 Ãû ) | ||
ÖÕ̫֮µ¶¡ªÏþÌú¸Ëľ³æ (ÖøÃûдÊÖ)
Êýѧ°®ºÃÕß
|
¡¾´ð°¸¡¿Ó¦Öú»ØÌû
¡ï ¡ï ¡ï ¡ï ¡ï
¸Ðл²ÎÓ룬ӦÖúÖ¸Êý +1 vikyrust: ½ð±Ò+5 2017-08-07 16:52:20
|
|
![]() |
||
|
5Â¥2017-08-02 17:50:38
|
|
|
qiangqgaoÌú³æ (СÓÐÃûÆø)
|
||
![]() |
||
|
3Â¥2017-08-02 12:18:12
|
|
|
aloberľ³æ (ÖøÃûдÊÖ)
|
||
|
8Â¥2017-08-02 19:01:08
|
|
|
aloberľ³æ (ÖøÃûдÊÖ)
|
||
|
9Â¥2017-08-02 19:38:38
|
|
|
| ÆÕͨ»ØÌû | ||
qiangqgaoÌú³æ (СÓÐÃûÆø)
|
||
![]() |
||
|
2Â¥2017-08-02 12:17:14
|
|
|
ÄäÃûÓû§×¢Ïú (ÖøÃûдÊÖ)
|
||
|
4Â¥2017-08-02 17:24:55
|
|
|
vikyrustгæ (³õÈëÎÄ̳)
|
||
|
6Â¥2017-08-02 18:08:45
|
|
|
vikyrustгæ (³õÈëÎÄ̳)
|
||
|
7Â¥2017-08-02 18:13:59
|
|
|
vikyrustгæ (³õÈëÎÄ̳)
|
||
|
10Â¥2017-08-03 09:26:38
|
|
|













»Ø¸´´ËÂ¥

