Znn3bq.jpeg
²é¿´: 598  |  »Ø¸´: 2

beachsheep

¾èÖú¹ó±ö (СÓÐÃûÆø)


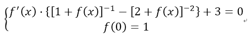
[½»Á÷] ÇëÎÊÕâÖÖ΢·Ö·½³ÌÔõô½â

ÇëÎÊÕâÖÖ΢·Ö·½³ÌÔõô½â
»Ø¸´´ËÂ¥

» ²ÂÄãϲ»¶

» ÇÀ½ð±ÒÀ²£¡»ØÌû¾Í¿ÉÒԵõ½:

²é¿´È«²¿É¢½ðÌù

ÒÑÔÄ   »Ø¸´´ËÂ¥   ¹Ø×¢TA ¸øTA·¢ÏûÏ¢ ËÍTAºì»¨ TAµÄ»ØÌû

peterflyer

ľ³æÖ®Íõ (ÎÄѧ̩¶·)


¡ï ¡ï ¡ï ¡ï
beachsheep(½ð±Ò+1): лл²ÎÓë
beachsheep(Edstrayer´ú·¢): ½ð±Ò+3 2017-07-08 06:20:28
ÁîF=1+f
f'=F'
F'*£û1/F-(1+F)^(-2)£ý+3=0

dF*£û1/F-(1+F)^(-2)£ý=-3*dx
Õâ¾Í³ÉÁ˿ɷÖÀë±äÁ¿µÄ·½³ÌÁË£¬»ý·Ö¾Í¿ÉÇó½â¡£

» ±¾ÌûÒÑ»ñµÃµÄºì»¨£¨×îÐÂ10¶ä£©

2Â¥2017-06-24 22:52:20
ÒÑÔÄ   »Ø¸´´ËÂ¥   ¹Ø×¢TA ¸øTA·¢ÏûÏ¢ ËÍTAºì»¨ TAµÄ»ØÌû

beachsheep

¾èÖú¹ó±ö (СÓÐÃûÆø)


Ëͺ컨һ¶ä
ÒýÓûØÌû:
2Â¥: Originally posted by peterflyer at 2017-06-24 22:52:20
ÁîF=1+f
f'=F'
F'*£û1/F-(1+F)^(-2)£ý+3=0

dF*£û1/F-(1+F)^(-2)£ý=-3*dx
Õâ¾Í³ÉÁ˿ɷÖÀë±äÁ¿µÄ·½³ÌÁË£¬»ý·Ö¾Í¿ÉÇó½â¡£

¸Ðл
3Â¥2017-06-25 01:07:36
ÒÑÔÄ   »Ø¸´´ËÂ¥   ¹Ø×¢TA ¸øTA·¢ÏûÏ¢ ËÍTAºì»¨ TAµÄ»ØÌû
Ïà¹Ø°æ¿éÌø×ª ÎÒÒª¶©ÔÄÂ¥Ö÷ beachsheep µÄÖ÷Ìâ¸üÐÂ
×î¾ßÈËÆøÈÈÌûÍÆ¼ö [²é¿´È«²¿] ×÷Õß »Ø/¿´ ×îºó·¢±í
[¿¼ÑÐ] 302·ÖÇóµ÷¼Á +9 ·²ÓïÆíÔ¸ 2026-04-08 10/500 2026-04-10 23:26 by 314126402
[¿¼ÑÐ] ²ÄÁÏ085601µ÷¼Á +25 ºÎÈó²É123 2026-04-10 27/1350 2026-04-10 23:17 by Ftglcn90
[¿¼ÑÐ] 22408 366·Ö£¬±¾¿Æ211£¬Ò»Ö¾Ô¸Î÷¹¤´ó +4 Rubt 2026-04-09 4/200 2026-04-10 19:51 by chemisry
[¿¼ÑÐ] ²ÄÁÏרҵ344Çóµ÷¼Á +16 hualkop 2026-04-10 21/1050 2026-04-10 17:28 by laoshidan
[¿¼ÑÐ] Çóµ÷¼Á +9 ôæôæÒ»ÊéÉú 2026-04-09 9/450 2026-04-10 11:43 by wp06
[¿¼ÑÐ] Çóµ÷¼Á ²ÄÁÏÓ빤³Ì 324·Ö ר˶ +19 ôæôæÒ»ÊéÉú 2026-04-10 21/1050 2026-04-10 11:41 by wp06
[¿¼ÑÐ] ²ÄÁÏÓ뻯¹¤371Çóµ÷¼Á +17 ÅãÁÕ¿´º£ 2026-04-04 18/900 2026-04-10 07:51 by 314126402
[¿¼ÑÐ] 278Çóµ÷¼Á +27 ·¶æÃÄÈ 2026-04-07 31/1550 2026-04-09 20:49 by zhouxiaoyu
[¿¼ÑÐ] »¯¹¤Çóµ÷¼Á£¡ +34 RichLi_ 2026-04-06 34/1700 2026-04-09 20:39 by zhouxiaoyu
[¿¼ÑÐ] µ÷¼Á +8 Ö»ÐðÀë±ð´Ç 2026-04-09 10/500 2026-04-09 20:25 by zl8213662
[¿¼ÑÐ] 266µ÷¼Á +8 daya sun 2026-04-07 9/450 2026-04-08 20:27 by yutian743
[¿¼ÑÐ] 316Çóµ÷¼Á +4 15318418673 2026-04-07 4/200 2026-04-07 22:12 by hemengdong
[¿¼ÑÐ] 277Çóµ÷¼Á ÊýÒ»104·Ö +9 Æ¿×ÓPZ 2026-04-05 14/700 2026-04-07 17:52 by À¶ÔÆË¼Óê
[¿¼ÑÐ] »¯Ñ§357·Ö£¬¿¼Ñе÷¼Á +11 .Starry. 2026-04-04 12/600 2026-04-06 06:28 by houyaoxu
[¿¼ÑÐ] 296Çóµ÷¼Á +3 Íô£¡£¿£¡ 2026-04-05 4/200 2026-04-05 20:13 by à£à£à£0119
[¿¼ÑÐ] Ò»Ö¾Ô¸9²ÄÁÏѧ˶297ÒѹýÁù¼¶Çóµ÷¼ÁÍÆ¼ö +11 adaie 2026-04-04 12/600 2026-04-05 19:04 by À¶ÔÆË¼Óê
[¿¼ÑÐ] 085500»úеר˶³õÊÔ288Çóµ÷¼Á +3 GZJguo666- 2026-04-05 3/150 2026-04-05 18:06 by jkddd
[¿¼ÑÐ] ÉúÎïѧ308·ÖÇóµ÷¼Á£¨Ò»Ö¾Ô¸»ª¶«Ê¦´ó£© +8 ÏàÐűػá¹ââÍòÕ 2026-04-05 10/500 2026-04-05 12:19 by Hdyxbekcb
[¿¼ÑÐ] 320Çóµ÷¼Á +3 Ò»ÑùÔ² 2026-04-04 3/150 2026-04-04 22:29 by à£à£à£0119
[¿¼ÑÐ] ¸´ÊÔµ÷¼Á +6 ·¶¸ùÅà 2026-04-04 6/300 2026-04-04 14:27 by ÍÁľ˶ʿÕÐÉú
ÐÅÏ¢Ìáʾ
ÇëÌî´¦ÀíÒâ¼û