| ²é¿´: 1778 | »Ø¸´: 2 | ||
feixiangruiгæ (³õÈëÎÄ̳)
|
[ÇóÖú]
µªÆøÎüÍѸ½ÇúÏß»ØÖÍ»·²»Ã÷ÏÔµÄÔÒò ÒÑÓÐ2È˲ÎÓë
|
|
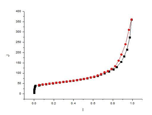
¶Ô̼ÄÉÃ×¹Ü×öµÄµªÆøÎüÍѸ½£¬¿×¾¶·Ö²¼ÉÏÓÐ΢¿×½é¿×£¬ÒÔ¼°ÉÙÁ¿´ó¿×£¬µ«ÊÇÎüÍѸ½ÇúÏßΪʲô»ØÖÍ»· ²»Ã÷ÏÔÄØ£¿ ͼƬ1.jpg |
» ²ÂÄãϲ»¶
²ÄÁϳÉÐͼ°¿ØÖƹ¤³Ì
ÒѾÓÐ5È˻ظ´
¸£½¨Àí¹¤´óѧÕÐÊղĿÆÑ§Ë¶µ÷¼Á
ÒѾÓÐ10È˻ظ´
ÎÞ»ú·Ç½ðÊô²ÄÁÏÂÛÎÄÈóÉ«/·ÒëÔõôÊÕ·Ñ?
ÒѾÓÐ102È˻ظ´
²ÄÁϳÉÐͼ°¿ØÖƹ¤³Ì ²ÄÁϼӹ¤¹¤³Ì
ÒѾÓÐ4È˻ظ´
²ÄÁϳÉÐͼ°¿ØÖƹ¤³Ì ²ÄÁϼӹ¤¹¤³Ì
ÒѾÓÐ5È˻ظ´
Ìì½ò³Ç½¨´óѧ²ÄÁÏ¿ÆÑ§Ó빤³ÌѧԺ½ÓÊÕµ÷¼Á
ÒѾÓÐ1È˻ظ´
¸£½¨Àí¹¤´óѧѧ˶µ÷¼Á
ÒѾÓÐ0È˻ظ´
(¹ãÖÝ)ÖÙâýũҵ¹¤³ÌѧԺÑîÀÏʦ¿ÎÌâ×éÕÐÊÕµ÷¼ÁÉú£¬ÈÔÓÐÃû¶î
ÒѾÓÐ0È˻ظ´
²ÄÁϳÉÐͼ°¿ØÖƹ¤³Ì ²ÄÁϼӹ¤¹¤³Ì
ÒѾÓÐ5È˻ظ´
²ÄÁϳÉÐͼ°¿ØÖƹ¤³Ì ²ÄÁϼӹ¤¹¤³Ì
ÒѾÓÐ0È˻ظ´
¹ã¶«Ò½¿Æ´óѧ2026ÄêÕÐÆ¸¼òÕÂ
ÒѾÓÐ0È˻ظ´
» ±¾Ö÷ÌâÏà¹ØÉ̼ÒÍÆ¼ö: (ÎÒÒ²ÒªÔÚÕâÀïÍÆ¹ã)
¸ñ¸ñÊåÊå
ľ³æ (ÕýʽдÊÖ)
- Ó¦Öú: 148 (¸ßÖÐÉú)
- ½ð±Ò: 3373.8
- É¢½ð: 215
- ºì»¨: 23
- Ìû×Ó: 463
- ÔÚÏß: 243.8Сʱ
- ³æºÅ: 4078036
- ×¢²á: 2015-09-17
- ÐÔ±ð: GG
- רҵ: Ó¦Óø߷Ö×Ó»¯Ñ§ÓëÎïÀí

2Â¥2017-06-23 14:42:31
Onlyberry
½ð³æ (СÓÐÃûÆø)
- Ó¦Öú: 17 (СѧÉú)
- ½ð±Ò: 765.8
- É¢½ð: 223
- ºì»¨: 4
- Ìû×Ó: 246
- ÔÚÏß: 130.2Сʱ
- ³æºÅ: 1974443
- ×¢²á: 2012-09-04
- ÐÔ±ð: GG
- רҵ: ÂÌÉ«Óлú»¯Ñ§
¡¾´ð°¸¡¿Ó¦Öú»ØÌû
| »ØÖÍ»·µÄ¿íÕÓë²ÄÁϽé¿×µÄ¶àÉÙ¡¢¿×µÄÐÎ×´¡¢¿×¾¶·Ö²¼ÓйØÏµ£¬¿´µÈÎÂÏßͼ£¬ÄãµÄ²ÄÁϵĽé¿×ÊýÁ¿²»¶à£¬·ÖѹÔÚ0.8ÒÔºó²Å½¥½¥ÓлØÖÍ»·£¬ÇÒ»¹´æÔÚ´ó¿×£¬¸ß·Öѹ¶ÎÎü¸½Á¿±ØÈ»¶¸È»ÉÏÉý |
3Â¥2017-06-29 15:34:38














»Ø¸´´ËÂ¥