| 查看: 503 | 回复: 4 | ||
16109011008新虫 (初入文坛)
|
[求助]
物化热力学证明题目 已有1人参与
|
|
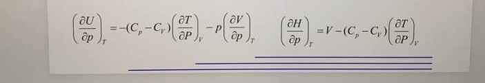
下图两个证明式子题目,求证明详细过程!感谢! 发自小木虫Android客户端 |
» 猜你喜欢
带膜支架的膜和支架之间的结合力如何测试
已经有2人回复
西交利物浦大学奖学金博士招生(生物传感或机器学习方向)
已经有1人回复
有机高分子材料论文润色/翻译怎么收费?
已经有69人回复
南方科技大学招收金属材料方向博士生
已经有23人回复
可降解聚酯材料在医疗器械中的应用趋势与创新方向
已经有0人回复
可降解微球如何提升药物精准治疗效果
已经有0人回复
静电纺丝膜分层问题
已经有0人回复
什么脱膜剂可以完全清洗干净啊?
已经有2人回复
暨南大学化学与材料学院赵宇亮院士正在招博士和博后,方向为生物材料和纳米医学
已经有1人回复
可生物降解聚酯正在重塑现代医疗器械
已经有0人回复
» 本主题相关价值贴推荐,对您同样有帮助:
江南大学分析化学考研
已经有34人回复
【物化问题】某理想气体恒外压下进行绝热膨胀,其热力学能和焓的变化
已经有9人回复
分享经验攒人品,讲讲我是如何复习[注化基础]的及报名事项
已经有14人回复
求助几道物化习题
已经有5人回复
中科院系统《物理化学》(甲)考研复习经验——转自某大师级好友的人人网
已经有67人回复
两道物化题目求熵变和一个热力学证明
已经有16人回复
甄士隐207
木虫之王 (文学泰斗)
- ICEPI: 6
- 应助: 959 (博后)
- 贵宾: 0.369
- 金币: 94627.5
- 散金: 8136
- 红花: 222
- 沙发: 6118
- 帖子: 60185
- 在线: 4178.7小时
- 虫号: 2803014
- 注册: 2013-11-15
- 专业: 历史学
【答案】应助回帖
★ ★ ★ ★ ★ ★
感谢参与,应助指数 +1
冰点降温: 金币+1, 谢谢专家解答,辛苦了。 2017-05-24 14:20:04
16109011008(冰点降温代发): 金币+5 2017-05-24 14:20:08
感谢参与,应助指数 +1
冰点降温: 金币+1, 谢谢专家解答,辛苦了。 2017-05-24 14:20:04
16109011008(冰点降温代发): 金币+5 2017-05-24 14:20:08
|
第二个同理。 发自小木虫IOS客户端 |
2楼2017-05-23 13:41:29
16109011008
新虫 (初入文坛)
- 应助: 0 (幼儿园)
- 金币: 122.5
- 散金: 10
- 帖子: 12
- 在线: 2.7小时
- 虫号: 6589088
- 注册: 2017-05-23
- 专业: 材料物理化学
3楼2017-05-23 19:11:21
甄士隐207
木虫之王 (文学泰斗)
- ICEPI: 6
- 应助: 959 (博后)
- 贵宾: 0.369
- 金币: 94627.5
- 散金: 8136
- 红花: 222
- 沙发: 6118
- 帖子: 60185
- 在线: 4178.7小时
- 虫号: 2803014
- 注册: 2013-11-15
- 专业: 历史学
4楼2017-05-23 19:12:20
16109011008
新虫 (初入文坛)
- 应助: 0 (幼儿园)
- 金币: 122.5
- 散金: 10
- 帖子: 12
- 在线: 2.7小时
- 虫号: 6589088
- 注册: 2017-05-23
- 专业: 材料物理化学
5楼2017-05-23 19:18:10













回复此楼