| 查看: 1705 | 回复: 16 | |||
[交流]
Fe3O4表面硅烷化 已有4人参与
|
|||
|
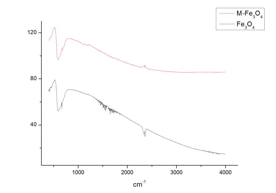
大家好! 最近在实验本篇论文的方法,套用他的配方改成Fe3O4,然后使用相同的硅烷基(MPS)总是不成功。 使用FTIR测官能基也不见Si-O,不知道是不是我理解错误。 需要将铁粉应用在光照型树脂中,所以必须具有反应型官能基。 麻烦虫友指点,是要增加MPS还是有更适合的论文推荐,因为想要寻求简便的改质方法 ![]() 制成方法 |
» 猜你喜欢
招生负责_院士团队_学生高自由度成长_擅长学生培养
已经有5人回复
温州大学招收2026年入学博士研究生(化学、材料、环境)
已经有10人回复
金属材料论文润色/翻译怎么收费?
已经有68人回复
非晶合金
已经有2人回复
院士团队-每届学生都优秀-高自由度-团队氛围好
已经有0人回复
求调剂
已经有3人回复
化工学院(学院正式调剂群+联系方式)
已经有0人回复
化工学院(学院官方群)-院士团队招生-学生自由度高-培养模式成熟高效
已经有0人回复
黑龙江大学分析化学招调剂
已经有0人回复
武汉高校国家级人才团队招收材料,化学,纺织等专业硕士调剂生
已经有26人回复
纺大化工学院(官方群)-院士团队招生-学生自由度高发展好-培养模式成熟
已经有0人回复
» 本主题相关价值贴推荐,对您同样有帮助:
消除催化零回复,感谢虫友来交流(九)
已经有7人回复
关于Fe3O4纳米微粒表面巯基或氨基改性的最佳合成方法
已经有0人回复
关于磁粒子Fe3O4的功能化修饰!
已经有3人回复
【求助】磁性粒子氨基化、羧基化方法
已经有9人回复
yubeihong
铁杆木虫 (职业作家)
- 应助: 20 (小学生)
- 金币: 7537.3
- 散金: 605
- 红花: 40
- 帖子: 3051
- 在线: 641小时
- 虫号: 253258
- 注册: 2006-05-20
- 性别: GG
- 专业: 生物化工与食品化工
2楼2017-04-07 23:38:07
yubeihong
铁杆木虫 (职业作家)
- 应助: 20 (小学生)
- 金币: 7537.3
- 散金: 605
- 红花: 40
- 帖子: 3051
- 在线: 641小时
- 虫号: 253258
- 注册: 2006-05-20
- 性别: GG
- 专业: 生物化工与食品化工
4楼2017-04-08 14:15:30
3楼2017-04-08 13:19:15
5楼2017-04-08 15:29:11
yubeihong
铁杆木虫 (职业作家)
- 应助: 20 (小学生)
- 金币: 7537.3
- 散金: 605
- 红花: 40
- 帖子: 3051
- 在线: 641小时
- 虫号: 253258
- 注册: 2006-05-20
- 性别: GG
- 专业: 生物化工与食品化工
6楼2017-04-08 19:54:08
7楼2017-04-08 20:48:12
yubeihong
铁杆木虫 (职业作家)
- 应助: 20 (小学生)
- 金币: 7537.3
- 散金: 605
- 红花: 40
- 帖子: 3051
- 在线: 641小时
- 虫号: 253258
- 注册: 2006-05-20
- 性别: GG
- 专业: 生物化工与食品化工
8楼2017-04-11 16:36:10
9楼2017-04-17 22:53:38
10楼2017-04-19 14:10:22














回复此楼