| 查看: 193 | 回复: 0 | ||
[求助]
合成
|
|
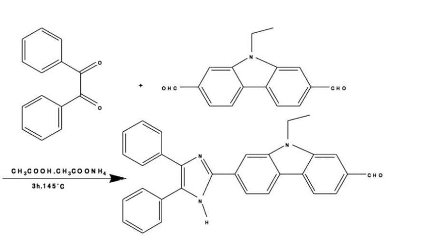
下面这个图片,大家认为几比几反应最好 发自小木虫Android客户端 |
» 猜你喜欢
不合理蛙科研实验之“蛙测重金属我背锅三千”
已经有0人回复
不合理蛙科研实验之“鼠逃三次我发三篇SCI”
已经有0人回复
化学工程及工业化学论文润色/翻译怎么收费?
已经有291人回复
纳米粒度分析
已经有3人回复
林科院林化所招收材料与化工专业硕士,坐标南京
已经有0人回复
留学--博士招生
已经有16人回复
化学工程,本211,求调剂,ab区不限
已经有4人回复
湖北师范大学招调剂啦
已经有6人回复
邵阳学院食品与化学工程学院硕士调剂
已经有0人回复














回复此楼