| 查看: 774 | 回复: 5 | |||
arb1004木虫 (正式写手)
|
[求助]
求助DSC图分析 已有2人参与
|
|
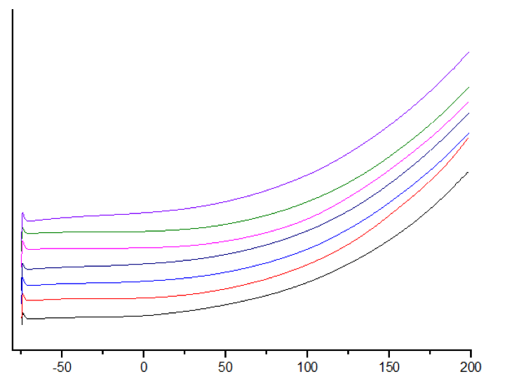
请问从此图里可以看出Tg峰吗?另外求教DSC图分析心得。多谢多谢 @流浪南昌 @bionics 发自小木虫IOS客户端 |
» 猜你喜欢
323求调剂
已经有6人回复
一志愿北京化工大学 070300 学硕 336分 求调剂
已经有4人回复
352求调剂
已经有3人回复
一志愿东华大学化学070300,求调剂
已经有8人回复
277材料科学与工程080500求调剂
已经有7人回复
317求调剂
已经有18人回复
293求调剂
已经有5人回复
280分求调剂 一志愿085802
已经有7人回复
0854电子信息求调剂
已经有3人回复
263求调剂
已经有4人回复
» 本主题相关价值贴推荐,对您同样有帮助:
求助 DSC图怎么分析
已经有3人回复
求助 DSC 图的分析
已经有11人回复
求助DSC分析 ,如图所示可是什么材料
已经有10人回复
DSC图分析
已经有5人回复
求助DSC分析
已经有13人回复
DSC图分析
已经有4人回复
求助DSC图分析
已经有1人回复
求助TG-DSC图的分析,DSC图上峰和谷的界定
已经有16人回复
求助,DSC数据图分析
已经有17人回复
求助DSC图,不会分析啊,大家帮忙看看,谢谢!!
已经有11人回复
求助DSC数据分析
已经有0人回复
dsc图片求助分析
已经有5人回复
huzhifeng09
专家顾问 (著名写手)
-

专家经验: +327 - 应助: 176 (高中生)
- 贵宾: 0.178
- 金币: 6710.3
- 红花: 31
- 帖子: 2084
- 在线: 159.7小时
- 虫号: 2313969
- 注册: 2013-03-03
- 性别: GG
- 专业: 高分子科学
- 管辖: 高分子

2楼2017-03-15 09:24:28
arb1004
木虫 (正式写手)
- 应助: 0 (幼儿园)
- 金币: 6544.4
- 散金: 70
- 帖子: 427
- 在线: 31.6小时
- 虫号: 3084954
- 注册: 2014-03-24
- 性别: GG
- 专业: 高分子合成化学
3楼2017-03-15 09:27:20
cheehs83
新虫 (正式写手)
- 应助: 1 (幼儿园)
- 金币: 4847.4
- 红花: 1
- 帖子: 336
- 在线: 6.8小时
- 虫号: 2849010
- 注册: 2013-12-05
- 专业: 高分子组装与超分子结构
4楼2017-03-15 15:00:20
vmuch520
至尊木虫 (文坛精英)
- PEPI: 8
- 应助: 565 (博士)
- 贵宾: 0.161
- 金币: 23269.3
- 散金: 4752
- 红花: 135
- 帖子: 16278
- 在线: 6078.9小时
- 虫号: 341865
- 注册: 2007-04-08
- 专业: 生物材料
5楼2017-03-15 16:23:08
yuanyan855 
禁虫 (小有名气)
感谢参与,应助指数 +1
|
本帖内容被屏蔽 |
6楼2017-03-15 17:02:53













回复此楼