| ²é¿´: 1682 | »Ø¸´: 3 | |
llltomÌú³æ (СÓÐÃûÆø)
|
[ÇóÖú]
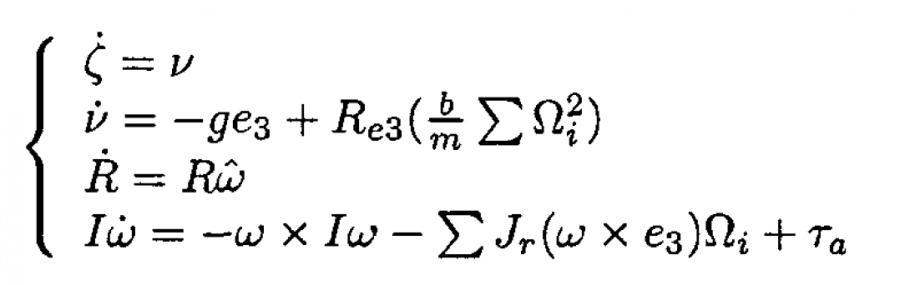
ËÄÖá·ÉÐÐÆ÷Ô˶¯·½³ÌÀïÃæ½Ç¶¯Á¿·½³Ìµ½µ×ÊǶԻúÌå×ø±êϵÏ»¹ÊǹßÐÔϵϵıíʾ£¿
|
|
|
|
llltomÌú³æ (СÓÐÃûÆø)
|
|
|
2Â¥2017-03-13 17:18:21
|
|
youjinchuanÒø³æ (СÓÐÃûÆø)
|
|
|
3Â¥2017-03-19 18:14:35
|
|
llltomÌú³æ (СÓÐÃûÆø)
|
|
|
4Â¥2017-03-28 16:04:52
|
|














»Ø¸´´ËÂ¥