| 查看: 365 | 回复: 1 | ||
dacheng_木虫 (正式写手)
|
[求助]
公式来源 已有1人参与
|
|
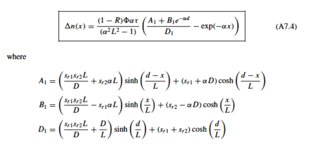
求助,图片公式来自哪本书? 图片1.png@hwweven |
» 猜你喜欢
像咨询下各位大佬,出现这种问题怎么解决
已经有2人回复
考博
已经有7人回复
无机非金属材料论文润色/翻译怎么收费?
已经有82人回复
上 海 交 大 材 料 学 院 拟 招 26 年 生 物 材 料 方 向 普 博 生 1 名
已经有5人回复
上 海 交 大 材 料 学 院 拟 招 26 年 生 物 材 料 方 向 普 博 生 1 名
已经有8人回复
上 海 交 大 材 料 学 院 拟 招 26 年 生 物 材 料 方 向 普 博 生 1 名
已经有5人回复
北京985或211推荐博导
已经有0人回复
同一篇文章,用不同账号投稿对编辑决定是否送审有没有影响?
已经有3人回复
郑州大学田佳佳团队诚招2026年入学博士研究生
已经有0人回复
材料科学基础
已经有0人回复
aidslibowen
木虫 (正式写手)
- 应助: 24 (小学生)
- 金币: 3760.5
- 红花: 3
- 帖子: 617
- 在线: 59.7小时
- 虫号: 2223664
- 注册: 2013-01-05
- 专业: 半导体材料

2楼2017-03-12 18:37:58













回复此楼