| 查看: 4841 | 回复: 15 | ||
chem—学渣新虫 (小有名气)
|
[求助]
电极电势,标准与非标准电极电势问题 已有2人参与
|
|
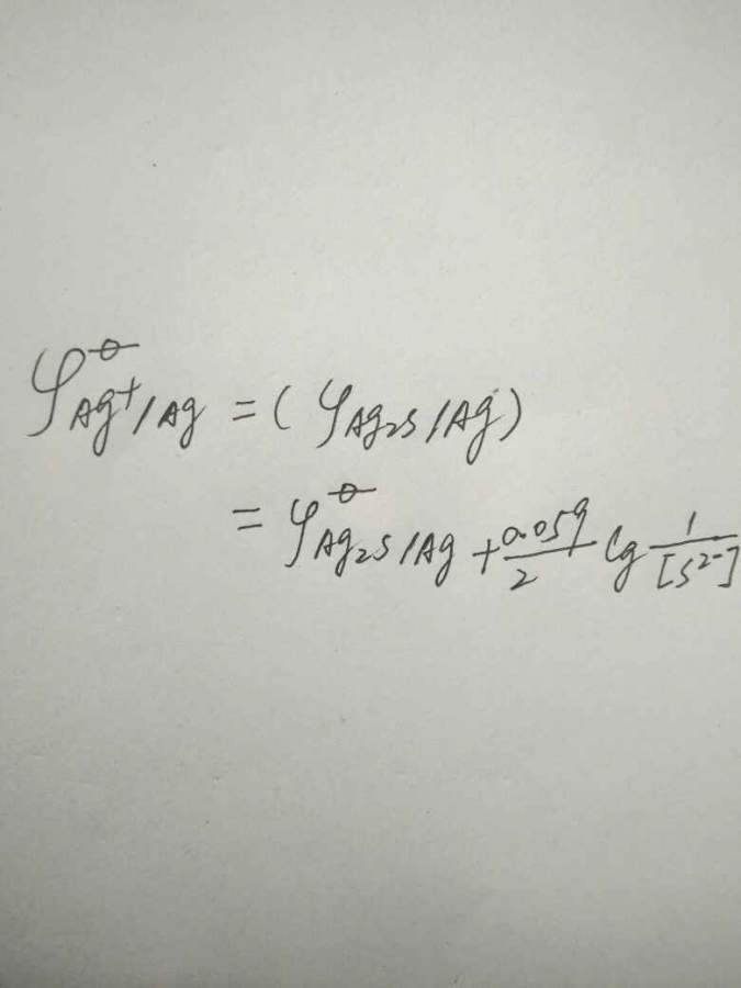
如图,Ag2S/Ag电对和Ag+/Ag电对实质上相同,所以非标准态但是同一情况下Ag2S和Ag+电极电势相同对吧,但是为什么标准状态的Ag2S/Ag电极电势就等于非标准状态下的Ag+/Ag的电极电势?(图一题目中括号内)为什么要这样写,我感觉有点被绕迷糊了…那么可不可以按照图二我“类比”的这样? 请求高手指点!谢谢!! @jiagle @fds329 发自小木虫Android客户端 |
» 猜你喜欢
什么脱膜剂可以完全清洗干净啊?
已经有2人回复
暨南大学化学与材料学院赵宇亮院士正在招博士和博后,方向为生物材料和纳米医学
已经有1人回复
有机高分子材料论文润色/翻译怎么收费?
已经有50人回复
可生物降解聚酯正在重塑现代医疗器械
已经有0人回复
26届博士申请
已经有2人回复
PLLA 微球在生物医学领域的研究与应用
已经有1人回复
PLLA 微球的材料特性与制备工艺解析
已经有0人回复
医用聚己内酯(PCL)全解析:从两段式降解到组织工程应用
已经有0人回复
反相硅胶如何再生?
已经有1人回复
» 本主题相关价值贴推荐,对您同样有帮助:
电化学新手,关于碱性溶液中如何测Cu/Cu(OH)2电极电势问题?
已经有0人回复
无机及分析化学 作者:刘玉林,刘宜树,王传虎 ppt课件
已经有1人回复
关于 王水的配置、用途及注意问题
已经有3人回复
注册化工工程师须知
已经有23人回复
pH电极的结构、分类命名及常见问题分析
已经有3人回复
pH电极的结构、分类命名及常见问题分析
已经有0人回复
【求助】Li+/Li的电位怎么测
已经有1人回复
【分享】北京大学1997年考研试题(还有很多,有需要的联系我)
已经有0人回复
【分享】北京大学1996年考研试题(还有很多,有需要的联系我)
已经有0人回复
复旦2010年物理化学试卷
已经有11人回复
【分享】2009年注册环保工程师基础考试大纲
已经有11人回复
甄士隐207
木虫之王 (文学泰斗)
- ICEPI: 6
- 应助: 959 (博后)
- 贵宾: 0.369
- 金币: 95478.4
- 散金: 8136
- 红花: 222
- 沙发: 6154
- 帖子: 60599
- 在线: 4189.5小时
- 虫号: 2803014
- 注册: 2013-11-15
- 专业: 历史学
2楼2017-03-03 12:07:22
chem—学渣
新虫 (小有名气)
- 应助: 1 (幼儿园)
- 金币: 1740.9
- 散金: 226
- 红花: 2
- 帖子: 206
- 在线: 31.3小时
- 虫号: 4341273
- 注册: 2016-01-07
- 专业: 计算机软件
3楼2017-03-03 13:02:52
chem—学渣
新虫 (小有名气)
- 应助: 1 (幼儿园)
- 金币: 1740.9
- 散金: 226
- 红花: 2
- 帖子: 206
- 在线: 31.3小时
- 虫号: 4341273
- 注册: 2016-01-07
- 专业: 计算机软件
4楼2017-03-03 14:25:23
chem—学渣
新虫 (小有名气)
- 应助: 1 (幼儿园)
- 金币: 1740.9
- 散金: 226
- 红花: 2
- 帖子: 206
- 在线: 31.3小时
- 虫号: 4341273
- 注册: 2016-01-07
- 专业: 计算机软件
5楼2017-03-03 17:15:41
6楼2017-03-03 17:18:12
甄士隐207
木虫之王 (文学泰斗)
- ICEPI: 6
- 应助: 959 (博后)
- 贵宾: 0.369
- 金币: 95478.4
- 散金: 8136
- 红花: 222
- 沙发: 6154
- 帖子: 60599
- 在线: 4189.5小时
- 虫号: 2803014
- 注册: 2013-11-15
- 专业: 历史学
7楼2017-03-03 17:45:46
chem—学渣
新虫 (小有名气)
- 应助: 1 (幼儿园)
- 金币: 1740.9
- 散金: 226
- 红花: 2
- 帖子: 206
- 在线: 31.3小时
- 虫号: 4341273
- 注册: 2016-01-07
- 专业: 计算机软件
8楼2017-03-03 18:39:21
chem—学渣
新虫 (小有名气)
- 应助: 1 (幼儿园)
- 金币: 1740.9
- 散金: 226
- 红花: 2
- 帖子: 206
- 在线: 31.3小时
- 虫号: 4341273
- 注册: 2016-01-07
- 专业: 计算机软件
9楼2017-03-03 18:39:39
甄士隐207
木虫之王 (文学泰斗)
- ICEPI: 6
- 应助: 959 (博后)
- 贵宾: 0.369
- 金币: 95478.4
- 散金: 8136
- 红花: 222
- 沙发: 6154
- 帖子: 60599
- 在线: 4189.5小时
- 虫号: 2803014
- 注册: 2013-11-15
- 专业: 历史学
10楼2017-03-03 18:57:47













回复此楼


chem—学渣
10