| ²é¿´: 1481 | »Ø¸´: 8 | ||
³Â¿Æ¾ýÌú¸Ëľ³æ (ÖøÃûдÊÖ)
|
[ÇóÖú]
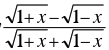
¸ßµÈÊýѧÇóµ¼ ÒÑÓÐ1È˲ÎÓë
|
|
|
|
||
ËØÑÕͬѧгæ (СÓÐÃûÆø)
|
||
|
2Â¥2017-03-01 10:23:10
|
|
|
ËØÑÕͬѧгæ (СÓÐÃûÆø)
|
||
|
3Â¥2017-03-01 10:25:50
|
|
|
ËØÑÕͬѧгæ (СÓÐÃûÆø)
|
||
|
4Â¥2017-03-01 10:26:38
|
|
|
ËØÑÕͬѧгæ (СÓÐÃûÆø)
|
|
|
|
5Â¥2017-03-01 10:28:30
|
|
|
peterflyer
|
¡¾´ð°¸¡¿Ó¦Öú»ØÌû
¸Ðл²ÎÓ룬ӦÖúÖ¸Êý +1
|
|
|
6Â¥2017-03-01 16:46:44
|
|
|
kjsyÒø³æ (СÓÐÃûÆø)
|
|
|
![]() |
||
|
7Â¥2017-03-01 21:52:08
|
|
|
³Â¿Æ¾ýÌú¸Ëľ³æ (ÖøÃûдÊÖ)
|
||
|
8Â¥2017-03-01 23:04:43
|
|
|
³Â¿Æ¾ýÌú¸Ëľ³æ (ÖøÃûдÊÖ)
|
||
|
9Â¥2017-03-01 23:05:44
|
|














»Ø¸´´ËÂ¥

