24小时热门版块排行榜    

Znn3bq.jpeg
查看: 1287  |  回复: 3

小暑遇大寒

新虫 (初入文坛)

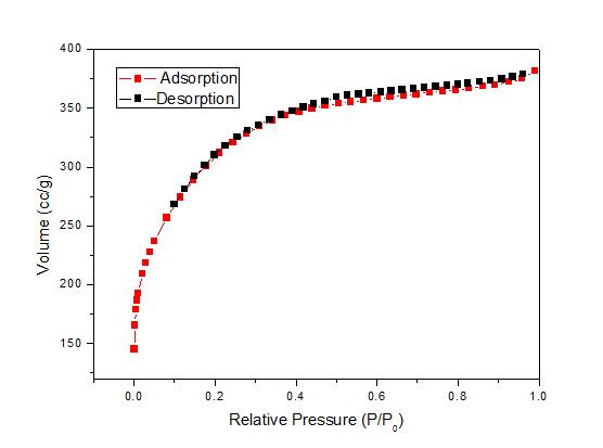
[求助] 活性炭 吸附等温线的类型与滞后环有关系吗? 已有1人参与

活性炭 吸附等温线的类型与滞后环有关系吗?

有文献中的吸附等温线有明显的滞后环,但是吸附等温线类型却是Ⅰ型。
难道吸附等温线的类型是按照曲线的形状划分,并不是按照有无滞后环划分?

图中的事什么型呢?
求解,万分感激。。。。。

活性炭 吸附等温线的类型与滞后环有关系吗?
HVV]K}O[0142%1}YO3N~3KO.png
回复此楼

» 猜你喜欢

» 本主题相关价值贴推荐,对您同样有帮助:

已阅   回复此楼   关注TA 给TA发消息 送TA红花 TA的回帖

格格叔叔

木虫 (正式写手)

【答案】应助回帖

感谢参与,应助指数 +1
你这个图中的等温线,我认为是I型的,等温线的分类现在就那么几种,但是实际测出来的等温线有很多种情况。这个需要具体的情况,来具体分析了。
寂静默然
2楼2017-02-08 14:40:21
已阅   回复此楼   关注TA 给TA发消息 送TA红花 TA的回帖

zjwzjw110

禁虫 (小有名气)

本帖内容被屏蔽

3楼2017-02-12 10:04:56
已阅   回复此楼   关注TA 给TA发消息 送TA红花 TA的回帖

zjwzjw110

禁虫 (小有名气)

本帖内容被屏蔽

4楼2017-02-12 10:06:43
已阅   回复此楼   关注TA 给TA发消息 送TA红花 TA的回帖
相关版块跳转 我要订阅楼主 小暑遇大寒 的主题更新
最具人气热帖推荐 [查看全部] 作者 回/看 最后发表
[基金申请] 评审有感 +6 popular289 2026-05-18 11/550 2026-05-18 22:40 by iaeyuan
[基金申请] 国自然上会要求 +5 无名者登山 2026-05-18 9/450 2026-05-18 17:50 by BlakeReary
[基金申请] 今年审到国自然15份,谈谈感受 +16 国自然国社科中 2026-05-17 16/800 2026-05-18 14:58 by gy116024
[基金申请] 重磅!青年科学基金项目(C类)资助增幅预计超过50% +7 水和泥不是水泥 2026-05-13 10/500 2026-05-18 07:50 by 水和泥不是水泥
[文学芳草园] 半夜喝咖啡 +3 myrtle 2026-05-15 5/250 2026-05-18 01:03 by 小沈2018
[硕博家园] 售SCI一区T0P文章,我:8.O.5.5.1.O.5.4,科目齐全,可+急 +6 l7k6xnh0yc 2026-05-14 7/350 2026-05-17 19:42 by Equinoxhua
[考博] 2026博士还有哪些学校有名额 +6 小王求读研 2026-05-15 7/350 2026-05-17 16:54 by 知音湖畔
[考博] 光量子物理方向 博士招生 1人(2026.09) +3 sandyworld 2026-05-15 4/200 2026-05-17 14:38 by sandyworld
[考博] 26/27博士推荐 +3 1木头人13949 2026-05-13 3/150 2026-05-17 09:41 by YuY66
[考研] 售SCI一区T0P文章,我:8.O.5.5.1.O.5.4,科目齐全,可+急 +4 l7k6xnh0yc 2026-05-14 8/400 2026-05-17 07:26 by 11n4dfd8yn
[硕博家园] 售SCI一区T0P文章,我:8.O.5.5.1.O.5.4,科目齐全,可+急 +5 cjf4bx70cj 2026-05-14 7/350 2026-05-17 06:55 by 11n4dfd8yn
[考博] 售SCI一区T0P文章,我:8.O.5.5.1.O.5.4,科目齐全,可+急 +3 ky2p12rrjj 2026-05-15 4/200 2026-05-17 00:57 by ue3ir18jc3
[考研] 售SCI一区T0P文章,我:8.O.5.5.1.O.5.4,科目齐全,可+急 +3 ky2p12rrjj 2026-05-15 4/200 2026-05-17 00:50 by ue3ir18jc3
[基金申请] 请问大佬b0816评完了吗 +4 市民华南虎 2026-05-12 8/400 2026-05-16 19:54 by Equinoxhua
[高分子] 本人最近太闲了,谁有问题可以提,每天会统一回复 +9 一切都是空工 2026-05-12 20/1000 2026-05-16 19:52 by Equinoxhua
[硕博家园] 售SCI一区T0P文章,我:8.O.5.5.1.O.5.4,科目齐全,可+急 +3 k37jurhrau 2026-05-16 3/150 2026-05-16 13:57 by vcdazktkjx
[考研] 售SCI一区T0P文章,我:8.O.5.5.1.O.5.4,科目齐全,可+急 +4 l7k6xnh0yc 2026-05-14 6/300 2026-05-16 11:29 by h3oerqvkv9
[硕博家园] 申请博士 +3 呃?呃 2026-05-15 3/150 2026-05-16 11:01 by a4742549
[教师之家] 教学课件你会给同学吗 +8 硕士研究生吗 2026-05-13 8/400 2026-05-14 22:23 by 常规沥青
[考博] 26应届毕业生考博求助 +3 wo一定上岸 2026-05-13 3/150 2026-05-14 21:47 by 明海天涯
信息提示
请填处理意见