| 查看: 798 | 回复: 2 | |||
Love_Family新虫 (初入文坛)
|
[求助]
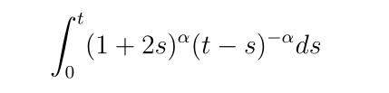
求助一个积分的问题,麻烦各位虫友不吝赐教,不胜感激! 已有1人参与
|
||
![]() |
|||
|
|
|||
wurongjun专家顾问 (职业作家)
|
|||
![]() |
|||
|
2楼2017-02-05 11:37:56
|
|
||
alober木虫 (著名写手)
|
|||
|
3楼2017-02-05 11:44:37
|
|













回复此楼
