| 查看: 1611 | 回复: 16 | ||
雪夜行路人铁杆木虫 (著名写手)
|
[交流]
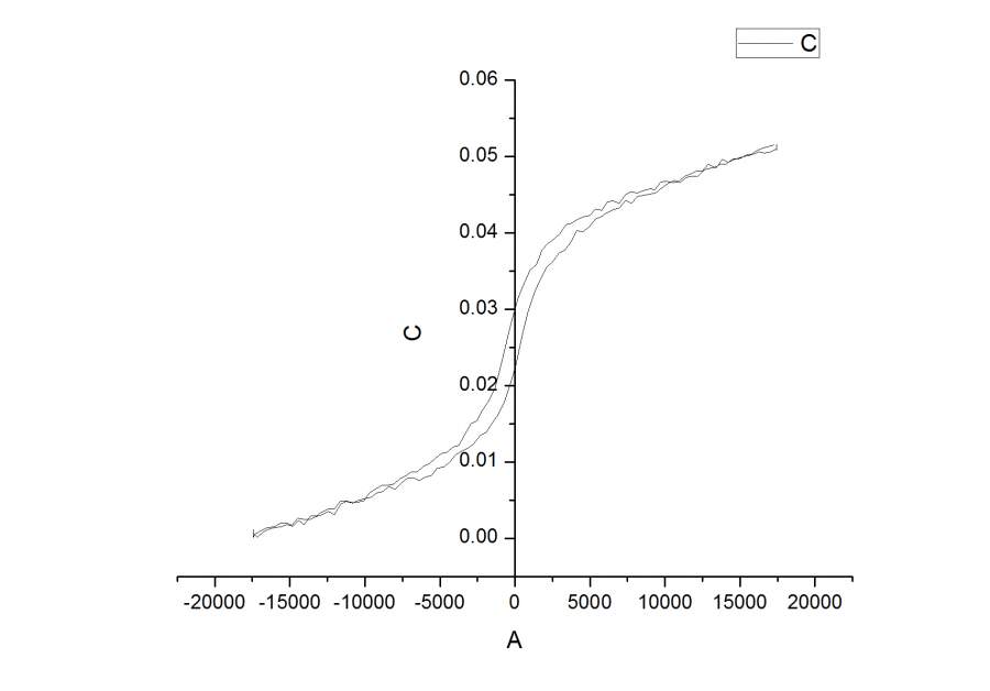
测磁滞回线时,曲线没有与横轴相交是什么原因呢
|
zuiaixuexi
至尊木虫 (文坛精英)
- 应助: 41 (小学生)
- 金币: 27261.7
- 散金: 400
- 红花: 51
- 沙发: 63
- 帖子: 31364
- 在线: 360.5小时
- 虫号: 4350002
- 注册: 2016-01-11
- 性别: GG
- 专业: 会计学

2楼2016-12-06 20:30:07
雪夜行路人
铁杆木虫 (著名写手)
- 应助: 1 (幼儿园)
- 金币: 9573.1
- 散金: 144
- 红花: 2
- 帖子: 2127
- 在线: 349.5小时
- 虫号: 4999732
- 注册: 2016-09-10
- 性别: GG
- 专业: 光学和光电子材料
3楼2016-12-08 10:59:11
4楼2016-12-18 13:39:44
雪夜行路人
铁杆木虫 (著名写手)
- 应助: 1 (幼儿园)
- 金币: 9573.1
- 散金: 144
- 红花: 2
- 帖子: 2127
- 在线: 349.5小时
- 虫号: 4999732
- 注册: 2016-09-10
- 性别: GG
- 专业: 光学和光电子材料
5楼2016-12-18 14:55:57
6楼2016-12-18 17:54:31
★ ★
小木虫: 金币+0.5, 给个红包,谢谢回帖
雪夜行路人: 金币+1 2016-12-19 21:18:56
小木虫: 金币+0.5, 给个红包,谢谢回帖
雪夜行路人: 金币+1 2016-12-19 21:18:56
|
如果顺次里面存在一些反磁性物质的话,就会引起磁滞曲线偏移 发自小木虫Android客户端 |
7楼2016-12-18 18:01:45
8楼2016-12-18 23:22:38
雪夜行路人
铁杆木虫 (著名写手)
- 应助: 1 (幼儿园)
- 金币: 9573.1
- 散金: 144
- 红花: 2
- 帖子: 2127
- 在线: 349.5小时
- 虫号: 4999732
- 注册: 2016-09-10
- 性别: GG
- 专业: 光学和光电子材料
9楼2016-12-18 23:24:32
10楼2016-12-18 23:25:24













回复此楼
