| ²é¿´: 1179 | »Ø¸´: 24 | ||
[½»Á÷]
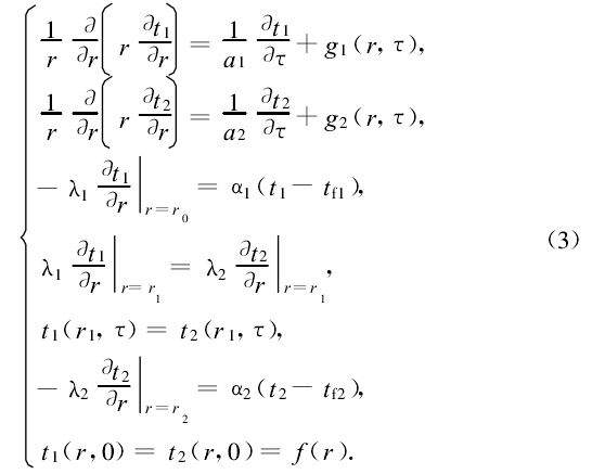
ÔÚÊýѧרҵ°æ¿éÒ²Çë½ÌÏ£¬¹ØÓÚ±´Èû¶û·½³ÌµÄÒ»¸öÎÊÌ⣬Çó´óÉñÖ¸µã½É½
|
||
» ÇÀ½ð±ÒÀ²£¡»ØÌû¾Í¿ÉÒԵõ½:
ºþ±±ÎÄÀíѧԺ£¬²ÄÁÏ£¬»¯Ñ§£¬»·¾³£¬»úе£¬µç×Ó£¬¹¤³ÌµÈרҵ¾ù¿É±¨Ãûµ÷¼Á£¡
+3/173
ɽ¶«º½¿ÕѧԺ°²È«¹¤³Ìרҵ085702µÚÈýÂÖ½ÓÊÕÑо¿Éúµ÷¼Á£¬»¶Ó×Éѯ
+1/94
³¤½´óѧ»¯¹¤Ñ§Ôº¡¾0857×ÊÔ´Óë»·¾³¡¿ÕÐÀíѧ¡¢¹¤Ñ§µ÷¼ÁÉú£¡
+1/91
ÎïÀíѧµ÷¼Á
+1/91
ÑûÄúͶ¸å Polymers ÌØ¿¯-¸ß·Ö×Ó²ÄÁϼӹ¤Ö÷Ìâ
+1/87
Ïã¸Û¿Æ¼¼´óѧ(¹ãÖÝ) CCUS¼°Îü¸½·ÖÀë·½ÏòÈ«½±²©Ê¿Éú£¬Äê½òÌù18Íò
+1/84
¿¦Ê²´óѧ»·¾³Éú̬ÐÞ¸´¹¦ÄܲÄÁÏÓë¼¼ÊõÍŶӽÓÊÕ2026Äêµ÷¼ÁÑо¿Éú
+1/34
¼ÃÄÏ´óÑ§Ç°ÑØ½»²æÔº Õл¯Ñ§Ñ§Ë¶£¨ÎïÀí¿Éµ÷£©»ò ²ÄÁÏÓ뻯¹¤×¨Ë¶
+1/20
¶þ´Îµ÷¼ÁÃû¶î13Ãû£¬»ª±±Àí¹¤´óѧ¿óÎï¼Ó¹¤¹¤³Ì·½Ïò½ÓÊÕµ÷¼ÁÑо¿Éú
+1/11
³¤½Ê¦·¶Ñ§Ôº ²ÄÁϹ¤³Ì ÕÐÊÕµ÷¼ÁѧÉú
+1/5
ºþÄÏ´óѧ°×ÓñÎÌâ×éÕÐÊÕ2026ÄêÈëѧ²©Ê¿Éú£¨µÚ¶þÅú²¹Â¼£©
+1/4
»ª±±Àí¹¤´óѧ¿óÎï¼Ó¹¤¹¤³Ì·½Ïò½ÓÊÕµ÷¼ÁÑо¿Éú
+1/4
ÕÐÊÕ»¯Ñ§¡¢º£Ñó¿ÆÑ§¡¢²ÄÁÏ¡¢»·¾³×¨Òµµ÷¼Á
+2/4
º£ÄÏÒ½¿Æ´óѧÖÇÄÜҽѧ¿ÎÌâ×éÕÐÊÕÉúÎïÐÅϢѧ·½Ïòרҵ˶ʿÑо¿Éú£¡
+1/3
Æí¸£
+1/3
³¤°²´óѧÖÇÄܱ¬ÆÆ¿ÎÌâ×éÕÐÊÕ2026¼¶²©Ê¿ºÍ˶ʿÑо¿Éú
+1/2
Çൺũҵ´óѧ»¯Ñ§ÓëҩѧԺÕÐÊÕµ÷¼Á£¬»¶Ó±¨Ãû£¡
+1/2
ÖÐɽ´óѧ¿ÎÌâ×éÕÐʵϰÉú±¾Ë¶½Ô¿É£¬ÓÐϸ°ûÅàÑø£¬·Ö×ÓÉúÎ¶¯ÎïʵÑé¾ÑéÓÅÏÈ
+1/2
ÉϺ£Ó¦Óü¼Êõ´óѧÕÐÉúµ÷¼ÁÑо¿Éú
+1/1
°²»Õ¹¤³Ì´óѧ»¯Ñ§Óë»·¾³¹¤³ÌѧԺ2026¼¶Ë¶Ê¿Ñо¿Éú»¹Óв¿·Öµ÷¼ÁÃû¶î-×ÊÔ´Óë»·¾³×¨Ë¶
+1/1
¡ï
ʨɽ´¹µö(½ð±Ò+1): лл²ÎÓë
ʨɽ´¹µö(½ð±Ò+1): лл²ÎÓë
|
ÎÊÌâ1£º»ý·Ö±ä»¯ÓÃÈí¼þ°É ÎÊÌâ2£º¼û¸½¼þ£¬Æë´Î½âû´í£¬Ìؽâ×Ô¼º²éÏ |
» ±¾Ìû¸½¼þ×ÊÔ´Áбí
-
»¶Ó¼à¶½ºÍ·´À¡£ºÐ¡Ä¾³æ½öÌṩ½»Á÷ƽ̨£¬²»¶Ô¸ÃÄÚÈݸºÔð¡£
±¾ÄÚÈÝÓÉÓû§×ÔÖ÷·¢²¼£¬Èç¹ûÆäÄÚÈÝÉæ¼°µ½ÖªÊ¶²úȨÎÊÌ⣬ÆäÔðÈÎÔÚÓÚÓû§±¾ÈË£¬Èç¶Ô°æÈ¨ÓÐÒìÒ飬ÇëÁªÏµÓÊÏ䣺xiaomuchong@tal.com - ¸½¼þ 1 : ·ÇÆë´Î±´Èû¶û·½³ÌµÄ½â.pdf
2016-12-06 12:03:59, 54.57 K
21Â¥2016-12-06 12:04:01
22Â¥2016-12-06 14:30:43
23Â¥2016-12-06 14:47:16
25Â¥2017-01-10 21:32:36
¼òµ¥»Ø¸´
ÎÒÃǵÄÊ®¾Å2Â¥
2016-12-06 10:52
»Ø¸´
ʨɽ´¹µö(½ð±Ò+1): лл²ÎÓë
h ·¢×ÔСľ³æAndroid¿Í»§¶Ë
gengxin603Â¥
2016-12-06 10:57
»Ø¸´
ʨɽ´¹µö(½ð±Ò+1): лл²ÎÓë
wangcui19844Â¥
2016-12-06 10:59
»Ø¸´
ʨɽ´¹µö(½ð±Ò+1): лл²ÎÓë
chlq314101a5Â¥
2016-12-06 11:01
»Ø¸´
ʨɽ´¹µö(½ð±Ò+1): лл²ÎÓë



Òä¿Õ°×6Â¥
2016-12-06 11:02
»Ø¸´
¼Ù´ó¿Õ7Â¥
2016-12-06 11:02
»Ø¸´
ʨɽ´¹µö(½ð±Ò+1): лл²ÎÓë
¶¥
³¬¼¶ÀÏ¿ì8Â¥
2016-12-06 11:03
»Ø¸´
ʨɽ´¹µö(½ð±Ò+1): лл²ÎÓë
ÒÀÒÀ¾Ã¾Ã9Â¥
2016-12-06 11:04
»Ø¸´
ʨɽ´¹µö(½ð±Ò+1): лл²ÎÓë
£¡ ·¢×ÔСľ³æAndroid¿Í»§¶Ë
slytjiaofei10Â¥
2016-12-06 11:11
»Ø¸´
ʨɽ´¹µö(½ð±Ò+1): лл²ÎÓë
zhchzhsh207611Â¥
2016-12-06 11:12
»Ø¸´
ʨɽ´¹µö(½ð±Ò+1): лл²ÎÓë
×£¸£±¦¡£ ·¢×ÔСľ³æAndroid¿Í»§¶Ë
shenrenren12Â¥
2016-12-06 11:16
»Ø¸´
ʨɽ´¹µö(½ð±Ò+1): лл²ÎÓë
shinyzd13Â¥
2016-12-06 11:17
»Ø¸´
ʨɽ´¹µö(½ð±Ò+1): лл²ÎÓë
Ö§³Ö
shaybing14Â¥
2016-12-06 11:19
»Ø¸´
ʨɽ´¹µö(½ð±Ò+1): лл²ÎÓë
¶¥ ·¢×ÔСľ³æIOS¿Í»§¶Ë
otijju15Â¥
2016-12-06 11:27
»Ø¸´
tzynew16Â¥
2016-12-06 11:27
»Ø¸´
ʨɽ´¹µö(½ð±Ò+1): лл²ÎÓë

ajingne117Â¥
2016-12-06 11:32
»Ø¸´
dsctg18Â¥
2016-12-06 11:39
»Ø¸´
ʨɽ´¹µö(½ð±Ò+1): лл²ÎÓë
dzÓïÈôË®19Â¥
2016-12-06 11:43
»Ø¸´
caoquanrang20Â¥
2016-12-06 11:51
»Ø¸´
ʨɽ´¹µö(½ð±Ò+1): лл²ÎÓë
caohy24Â¥
2016-12-06 15:06
»Ø¸´













»Ø¸´´ËÂ¥