| 查看: 1729 | 回复: 9 | ||
xunliancai铁杆木虫 (正式写手)
|
[求助]
锂离子电池容量上升的机理问题,求解答,求文献,谢谢 已有4人参与
|
|
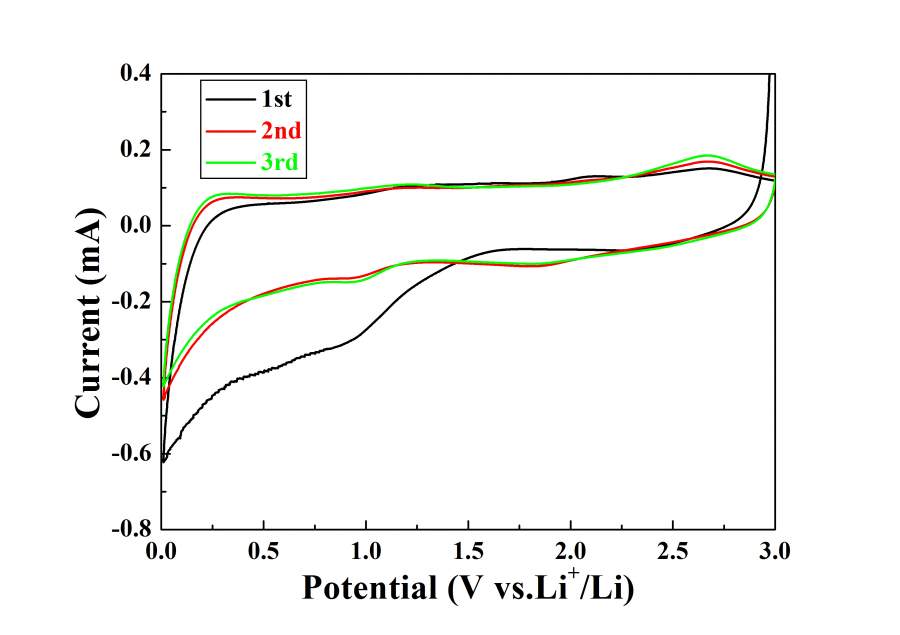
我的是无定形碳包覆氧化物做锂离子电池负极,循环伏安没有氧化还原峰,只是嵌锂和脱锂的反应,可是我的材料放电容量呈上升趋势,希望大家能告诉我原因,或者推荐一些探讨锂离子电池容量上升的文献也可以,谢谢! Graph2.JPG |
» 猜你喜欢
青岛大学固态电池研究团队招收材料、化学、物理等方向博士研究生
已经有33人回复
化学工程085602 305分求调剂
已经有22人回复
物理化学论文润色/翻译怎么收费?
已经有193人回复
龋病与牙周病的表述
已经有1人回复
070300化学求调剂
已经有12人回复
武汉纺织大学全国重点实验室杨应奎教授团队拟招17-19位硕博生!
已经有0人回复
材料与化工专硕接受跨专业调剂(重庆市属高校)
已经有0人回复
武汉纺织大学全国重点实验室杨应奎教授团队拟招17-19位硕博生!
已经有0人回复
070300 化学学硕 初试357分 b区求调剂
已经有1人回复
上海工程技术大学生态与功能纺织品开发研究团队招收学硕专硕研究生
已经有0人回复
华南理工0703求调剂,总分336四六级已过
已经有0人回复
» 本主题相关商家推荐: (我也要在这里推广)
» 本主题相关价值贴推荐,对您同样有帮助:
锂离子电池在进行大电流充放电测试时需要先通以小电流活化吗
已经有14人回复
交流,关于过渡金属硫化物氧化物做锂电池负极,容量先下降后上升的问题
已经有60人回复
锂离子电池重大突破
已经有3人回复
锂离子电池的容量上升的问题
已经有3人回复
锂电求救。。。
已经有7人回复
锂离子电池负极容量上升原因探讨
已经有107人回复
锂离子电池容量微分曲线意义。
已经有0人回复
东丽开发出耐热性和尺寸稳定性俱佳的芳纶树脂膜,适用于锂电池隔膜
已经有10人回复
锂离子在石墨烯结构间的存储
已经有127人回复
笔记本锂电池的各种相关问题一次解决(转自锂电网)
已经有7人回复
大家帮忙做几道锂电材料的题目吧
已经有14人回复
锂离子电池正极电容量升高的原因
已经有23人回复
住友电工的钠离子电池,可在低于100℃的温度下工作
已经有1人回复
【专题】中国锂电池产业策略:跟踪国外先进技术,制定国内统一标准强化知识产权保护
已经有18人回复
【资源】我查找并总结的关于锂电容量衰减的原因分析
已经有23人回复

zhang1220yu
金虫 (著名写手)
- 应助: 1 (幼儿园)
- 金币: 753.1
- 散金: 2710
- 红花: 5
- 帖子: 1122
- 在线: 170.4小时
- 虫号: 3396460
- 注册: 2014-09-03
- 性别: GG
- 专业: 能源化工

2楼2016-12-05 07:43:48
仕林VS天娇
金虫 (正式写手)
- 应助: 5 (幼儿园)
- 金币: 1296.2
- 散金: 330
- 红花: 2
- 帖子: 557
- 在线: 196.5小时
- 虫号: 1765430
- 注册: 2012-04-19
- 性别: GG
- 专业: 无机纳米化学

3楼2016-12-05 07:52:59
ywuweizi
版主 (著名写手)
- ECEPI: 5
- 应助: 592 (博士)
- 贵宾: 0.059
- 金币: 14404.6
- 散金: 721
- 红花: 198
- 沙发: 1
- 帖子: 2616
- 在线: 859.9小时
- 虫号: 850237
- 注册: 2009-09-17
- 性别: MM
- 专业: 电化学
- 管辖: 电化学
4楼2016-12-05 08:51:55
xunliancai
铁杆木虫 (正式写手)
- 应助: 1 (幼儿园)
- 金币: 7297.8
- 散金: 100
- 红花: 1
- 帖子: 841
- 在线: 121.2小时
- 虫号: 2674157
- 注册: 2013-09-23
- 性别: GG
- 专业: 生物物理化学

5楼2016-12-05 10:32:01
xunliancai
铁杆木虫 (正式写手)
- 应助: 1 (幼儿园)
- 金币: 7297.8
- 散金: 100
- 红花: 1
- 帖子: 841
- 在线: 121.2小时
- 虫号: 2674157
- 注册: 2013-09-23
- 性别: GG
- 专业: 生物物理化学

6楼2016-12-05 10:48:47
xunliancai
铁杆木虫 (正式写手)
- 应助: 1 (幼儿园)
- 金币: 7297.8
- 散金: 100
- 红花: 1
- 帖子: 841
- 在线: 121.2小时
- 虫号: 2674157
- 注册: 2013-09-23
- 性别: GG
- 专业: 生物物理化学

7楼2016-12-05 10:51:04
8楼2016-12-05 11:24:55
zhang1220yu
金虫 (著名写手)
- 应助: 1 (幼儿园)
- 金币: 753.1
- 散金: 2710
- 红花: 5
- 帖子: 1122
- 在线: 170.4小时
- 虫号: 3396460
- 注册: 2014-09-03
- 性别: GG
- 专业: 能源化工

9楼2016-12-05 23:56:09
10楼2017-03-23 15:58:23














回复此楼
