| 查看: 1591 | 回复: 5 | |
[交流]
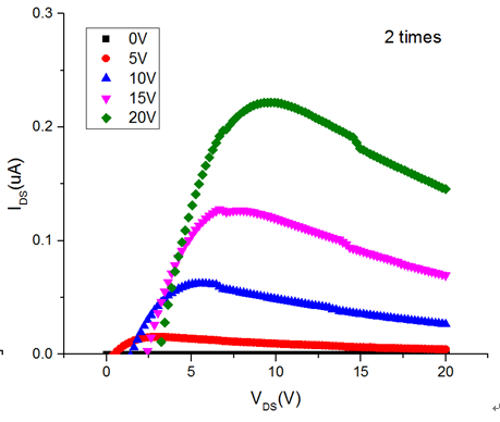
求问大神,薄膜晶体管的输出特性曲线饱和区先饱和后下降是怎么回事?已有3人参与
|
|
|
|
|
|
2楼2016-12-05 14:38:24
|
|
|
3楼2017-05-04 19:53:04
|
|
星儿星儿1新虫 (小有名气)
|
|
|
4楼2018-02-26 14:34:37
|
|
星儿星儿1新虫 (小有名气)
|
|
|
5楼2018-02-26 14:39:52
|
|
willbuilder铁杆木虫 (著名写手)
|
|
![]() |
|
|
6楼2018-02-27 13:10:13
|
|













回复此楼

