| 查看: 3293 | 回复: 8 | ||
[求助]
如何设置VESTA导出的原子坐标精度已有1人参与
|
|
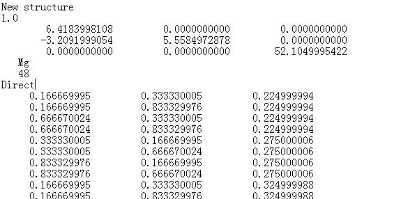
用VESTA导出的原子坐标只有小数点后十位,但是VASP中POSCAR的原子坐标小数点后有16位,请问要怎么设置才能让VESTA导出的数据符合POSCAR的要求? 金币略少,感激不尽! ![]() |
» 猜你喜欢
导师想让我从独立一作变成了共一第一
已经有10人回复
博士申请都是内定的吗?
已经有9人回复
博士读完未来一定会好吗
已经有34人回复
心脉受损
已经有8人回复
之前让一硕士生水了7个发明专利,现在这7个获批发明专利的维护费可从哪儿支出哈?
已经有9人回复
读博
已经有5人回复
投稿精细化工
已经有4人回复
漫天飘雪
版主 (知名作家)
认真做事,踏实做人
- 1ST强帖: 1
- 应助: 362 (硕士)
- 贵宾: 0.108
- 金币: 16749.9
- 散金: 13409
- 红花: 392
- 沙发: 2
- 帖子: 5766
- 在线: 2297.4小时
- 虫号: 914852
- 注册: 2009-11-27
- 性别: GG
- 专业: 材料物理化学
- 管辖: 第一性原理

2楼2016-11-21 12:17:14
3楼2016-11-21 15:32:04
827260864
木虫 (正式写手)
- 应助: 11 (小学生)
- 金币: 3332.9
- 散金: 1031
- 红花: 2
- 帖子: 540
- 在线: 412.5小时
- 虫号: 1712095
- 注册: 2012-03-23
- 专业: 凝聚态物性 II :电子结构

4楼2016-11-21 17:02:45
5楼2016-11-22 19:04:22
827260864
木虫 (正式写手)
- 应助: 11 (小学生)
- 金币: 3332.9
- 散金: 1031
- 红花: 2
- 帖子: 540
- 在线: 412.5小时
- 虫号: 1712095
- 注册: 2012-03-23
- 专业: 凝聚态物性 II :电子结构

6楼2016-11-22 19:45:01
7楼2016-11-22 20:07:33
827260864
木虫 (正式写手)
- 应助: 11 (小学生)
- 金币: 3332.9
- 散金: 1031
- 红花: 2
- 帖子: 540
- 在线: 412.5小时
- 虫号: 1712095
- 注册: 2012-03-23
- 专业: 凝聚态物性 II :电子结构

8楼2016-11-23 09:11:28
9楼2016-11-23 21:43:13














回复此楼