| 查看: 1266 | 回复: 9 | ||
[求助]
对HZSM-5分子筛和碱处理后的分子筛进行了氮气吸脱附分析 已有2人参与
|
|
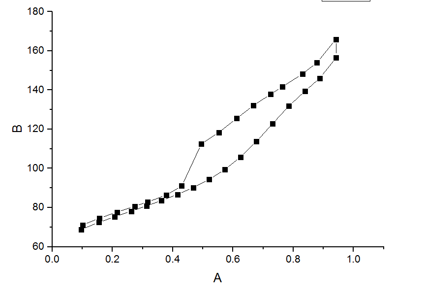
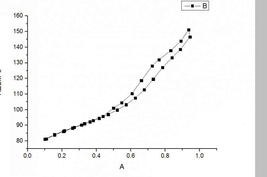
麻烦虫友帮忙看看图正常吗? 还有,计算得出的数据显示碱处理后分子筛的总表面积下降了,但是介孔表面积和孔容增大了,这个正常吗? %AU_$9057GSM_NT8OBZ00ST.png 9~8LRP$79}T7(34X@O1~V)H.png EY7YQJ{LV)@SKA1)%7}Y5@Q.png |
» 猜你喜欢
数二 英语一,求调剂,本科学校福建农林大学
已经有1人回复
大连工业大学招硕士研究生
已经有0人回复
物理化学论文润色/翻译怎么收费?
已经有181人回复
关于研究生调剂的些许建议
已经有1人回复
辽宁:大连工业大学,文字为导师详细信息,图片为团队介绍,欢迎报名
已经有0人回复
武汉轻工大学化环学院招收调剂
已经有6人回复
武汉轻工大学化环学院招调剂
已经有0人回复
塑料油分析测试
已经有1人回复
大连工业大学招硕士研究生
已经有0人回复
武汉纺织大学招收化学化工类和材料类研究生调剂生若干名
已经有3人回复
» 本主题相关商家推荐: (我也要在这里推广)
» 本主题相关价值贴推荐,对您同样有帮助:
超越7532
兑换贵宾
![]()
![]()
![]()
![]()
- 应助: 77 (初中生)
- 金币: 6190
- 散金: 187
- 红花: 7
- 帖子: 1581
- 在线: 808.9小时
- 虫号: 667766
- 注册: 2008-12-04
- 性别: GG
- 专业: 催化化学
【答案】应助回帖
★ ★
温心若水: 金币+2, 应助指数+1, 谢谢回帖! 2016-11-19 09:51:27
温心若水: 金币+2, 应助指数+1, 谢谢回帖! 2016-11-19 09:51:27
|
正常,碱处理破坏骨架结构,微孔被破坏,介孔产生,孔容变大,没毛病!图应该也正常 发自小木虫Android客户端 |

2楼2016-11-19 09:28:03
3楼2016-11-19 09:49:11
Insomnia才
管理员
![]()
![]()
![]()
![]()
- 应助: 24 (小学生)
- 金币: 3524.5
- 散金: 160
- 红花: 10
- 帖子: 658
- 在线: 1565.2小时
- 虫号: 1603472
- 注册: 2012-02-07
- 专业: 能源化工
4楼2016-11-21 09:49:00
5楼2016-11-23 15:12:37
6楼2016-11-26 13:05:18
DLUTRD
主管区长
|
本帖内容被屏蔽 |
7楼2016-11-27 18:31:51
DLUTRD
版主
|
本帖内容被屏蔽 |
8楼2016-11-27 18:32:33
9楼2016-11-27 23:34:18
10楼2016-12-08 08:59:35














回复此楼
10