| 查看: 389 | 回复: 4 | ||
[求助]
原电池 已有1人参与
|
|
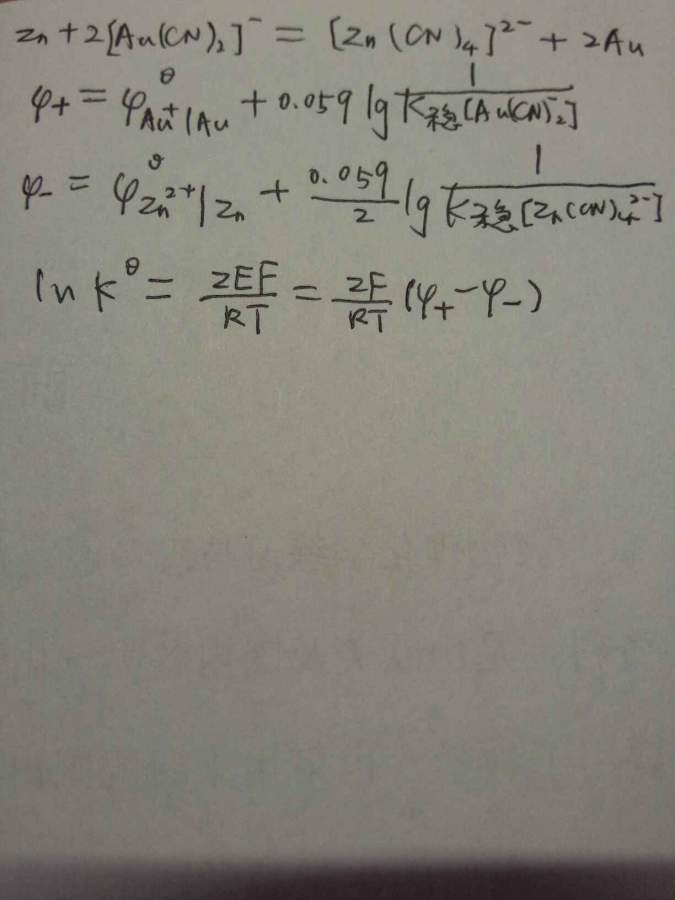
大神帮我看看这么做对不对 第二问的平衡常数对吗 发自小木虫Android客户端 |
» 猜你喜欢
什么脱膜剂可以完全清洗干净啊?
已经有2人回复
暨南大学化学与材料学院赵宇亮院士正在招博士和博后,方向为生物材料和纳米医学
已经有1人回复
有机高分子材料论文润色/翻译怎么收费?
已经有217人回复
可生物降解聚酯正在重塑现代医疗器械
已经有0人回复
26届博士申请
已经有2人回复
PLLA 微球在生物医学领域的研究与应用
已经有1人回复
PLLA 微球的材料特性与制备工艺解析
已经有0人回复
医用聚己内酯(PCL)全解析:从两段式降解到组织工程应用
已经有0人回复
反相硅胶如何再生?
已经有1人回复
甄士隐207
木虫之王 (文学泰斗)
- ICEPI: 6
- 应助: 959 (博后)
- 贵宾: 0.369
- 金币: 95341.9
- 散金: 8136
- 红花: 222
- 沙发: 6150
- 帖子: 60545
- 在线: 4188.9小时
- 虫号: 2803014
- 注册: 2013-11-15
- 专业: 历史学
【答案】应助回帖
★ ★ ★ ★ ★ ★
感谢参与,应助指数 +1
周立立: 金币+5, ★★★★★最佳答案 2016-11-18 15:43:26
冰点降温: 金币+1, 谢谢回帖,欢迎常来无机物化版块。 2016-11-19 10:01:15
感谢参与,应助指数 +1
周立立: 金币+5, ★★★★★最佳答案 2016-11-18 15:43:26
冰点降温: 金币+1, 谢谢回帖,欢迎常来无机物化版块。 2016-11-19 10:01:15
|
不对,第二个等号不成立,应设计原电池去求。 发自小木虫Android客户端 |
2楼2016-11-18 15:10:15
3楼2016-11-18 15:11:35
甄士隐207
木虫之王 (文学泰斗)
- ICEPI: 6
- 应助: 959 (博后)
- 贵宾: 0.369
- 金币: 95341.9
- 散金: 8136
- 红花: 222
- 沙发: 6150
- 帖子: 60545
- 在线: 4188.9小时
- 虫号: 2803014
- 注册: 2013-11-15
- 专业: 历史学
4楼2016-11-18 15:21:12
5楼2016-11-18 15:34:37













回复此楼