| 查看: 1471 | 回复: 6 | |||
宇宙之王铁杆木虫 (著名写手)
|
[求助]
求助一个有关配合物的Irving-Williams顺序的问题 已有1人参与
|
|
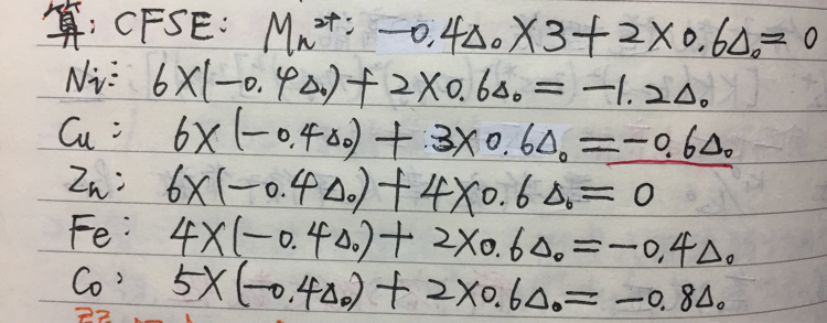
如题,我知道铜用姜太勒效应解释,稳定性最高,然后其他的几个金属用晶体场理论,算出稳定化能。可是我查了一下,这些金属离子的晶体场分裂能好像不是相等的,并且也不是一直变大的,那该如何比较呢?求大神指教! 发自小木虫IOS客户端 |
» 猜你喜欢
2026年武汉纺织大学国家杰青课题组招收调剂化学 生物 医学 食品 环境研究生
已经有16人回复
武汉纺织大学-材料科学与工程学院-姜伟杰青团队-招生物方向调剂
已经有0人回复
有机高分子材料论文润色/翻译怎么收费?
已经有156人回复
武汉纺织大学-材料科学与工程学院-招 生物方向 硕士!
已经有0人回复
武汉纺织大学-材料科学与工程学院-姜伟杰青团队-招生物方向调剂
已经有0人回复
[武汉纺织大学]材料学院[姜伟团队名称]课题组-2026年硕士研究生调剂信息
已经有0人回复
武汉纺织大学-材料科学与工程学院-姜伟杰青团队-招调剂
已经有0人回复
生物医学材料前沿科普:低密度、高孔隙率的“多孔微球”核心技术与应用全景
已经有1人回复
湖南工业大学周贵寅课题组招生物医学工程(07、08都行)和生物与医药(0860)硕士生
已经有0人回复
湖南工业大学周贵寅课题组招生物医学工程(07、08都行)和生物与医药(0860)硕士生
已经有0人回复
考研求调剂
已经有0人回复
jiagle
专家顾问 (知名作家)
-

专家经验: +5165 - ICEPI: 166
- 应助: 5678 (副教授)
- 贵宾: 2.513
- 金币: 84732.4
- 散金: 10041
- 红花: 513
- 帖子: 8620
- 在线: 1197.9小时
- 虫号: 1960227
- 注册: 2012-08-28
- 性别: GG
- 专业: 无机材料化学
- 管辖: 无机/物化
2楼2016-11-13 13:00:35
宇宙之王
铁杆木虫 (著名写手)
- 应助: 13 (小学生)
- 金币: 9331.7
- 散金: 79
- 红花: 32
- 帖子: 1717
- 在线: 391.5小时
- 虫号: 2856651
- 注册: 2013-12-08
- 专业: 药物化学
3楼2016-11-13 23:46:40
宇宙之王
铁杆木虫 (著名写手)
- 应助: 13 (小学生)
- 金币: 9331.7
- 散金: 79
- 红花: 32
- 帖子: 1717
- 在线: 391.5小时
- 虫号: 2856651
- 注册: 2013-12-08
- 专业: 药物化学
其实我的意思是,在比较除铜以外的金属离子顺序时,用晶体场稳定化能比较,然后算出来CFSE都与分裂能有关,但是每个金属离子的分裂能不一样,如何比较呢?望老师继续指教 @jiagle发自小木虫IOS客户端 |
4楼2016-11-13 23:56:04
1443395219
金虫 (正式写手)
- 应助: 0 (幼儿园)
- 金币: 1353.2
- 散金: 1212
- 红花: 5
- 沙发: 2
- 帖子: 741
- 在线: 271.6小时
- 虫号: 3567346
- 注册: 2014-11-29
- 性别: MM
- 专业: 无机合成和制备化学
★ ★ ★
冰点降温: 金币+1, 谢谢回帖,欢迎常来无机物化版块。 2016-11-14 09:16:53
宇宙之王(冰点降温代发): 金币+2 2016-11-14 09:17:00
冰点降温: 金币+1, 谢谢回帖,欢迎常来无机物化版块。 2016-11-14 09:16:53
宇宙之王(冰点降温代发): 金币+2 2016-11-14 09:17:00
|
CFSE是稳定化能,越低说明越稳定,而铜离子因为姜泰勒效应而降低对称性和轨道简并度 使体系能量进一步下降,因此比其他离子稳定 发自小木虫Android客户端 |
5楼2016-11-14 00:52:53
宇宙之王
铁杆木虫 (著名写手)
- 应助: 13 (小学生)
- 金币: 9331.7
- 散金: 79
- 红花: 32
- 帖子: 1717
- 在线: 391.5小时
- 虫号: 2856651
- 注册: 2013-12-08
- 专业: 药物化学
6楼2016-11-14 17:39:34
1443395219
金虫 (正式写手)
- 应助: 0 (幼儿园)
- 金币: 1353.2
- 散金: 1212
- 红花: 5
- 沙发: 2
- 帖子: 741
- 在线: 271.6小时
- 虫号: 3567346
- 注册: 2014-11-29
- 性别: MM
- 专业: 无机合成和制备化学
7楼2016-11-15 10:15:17














回复此楼
@