| ²é¿´: 1617 | »Ø¸´: 10 | ||
iάÊýľ³æ (ÕýʽдÊÖ)
|
[ÇóÖú]
Ò»¸öÓëʵϵÊý¶àÏîʽµÄ¸ùÓйصIJÂÏë ÒÑÓÐ1È˲ÎÓë
|
|
|
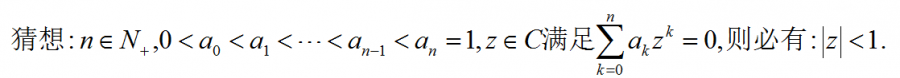
Èçͼ£¬ÆäÖÐCÊÇÖ¸¸´ÊýÓò£¬|z|±íʾ¸´ÊýzµÄÄ£³¤¡£Õâ¸ö²ÂÏëÊÇÕýÈ·µÄÂð£¿Ð»Ð»¸÷λ£¡ ÓëʵϵÊý¶àÏîʽµÄ¸ùÓйصIJÂÏë.png |
» ²ÂÄãϲ»¶
085500Çóµ÷¼Á²ÄÁÏ
ÒѾÓÐ9È˻ظ´
¹¤¿Æ273µ÷¼Á
ÒѾÓÐ7È˻ظ´
ÇóÖúµ÷¼Á£¬¿çµ÷
ÒѾÓÐ4È˻ظ´
ÉúÎïѧµ÷¼Á
ÒѾÓÐ9È˻ظ´
Ò»Ö¾Ô¸¹þ¹¤´ó 085600 277 12²Ä¿Æ»ùÇóµ÷¼Á
ÒѾÓÐ22È˻ظ´
268·Ö085602»¯Ñ§¹¤³Ìµ÷¼Á
ÒѾÓÐ25È˻ظ´
»úеר˶270Çóµ÷¼Á£¬½ÓÊÜ¿çרҵ
ÒѾÓÐ14È˻ظ´
275Çóµ÷¼Á
ÒѾÓÐ10È˻ظ´
µçÆø¹¤³Ìר˶320Çóµ÷¼Á
ÒѾÓÐ4È˻ظ´
ũҵ¹ÜÀí302·ÖÇóµ÷¼Á
ÒѾÓÐ3È˻ظ´
iάÊý
ľ³æ (ÕýʽдÊÖ)
- ÊýѧEPI: 4
- Ó¦Öú: 74 (³õÖÐÉú)
- ½ð±Ò: 3148.6
- ºì»¨: 10
- Ìû×Ó: 691
- ÔÚÏß: 941.9Сʱ
- ³æºÅ: 3691318
- ×¢²á: 2015-02-17
- ÐÔ±ð: GG
- רҵ: ƫ΢·Ö·½³Ì
5Â¥2016-11-13 00:41:14
Edstrayer
°æÖ÷ (ÖøÃûдÊÖ)
·½´ç¶·ÊÒСÌìµØÕýÆøÃÔÂþ´óÊÀ½ç
- ÊýѧEPI: 7
- Ó¦Öú: 157 (¸ßÖÐÉú)
- ¹ó±ö: 0.927
- ½ð±Ò: 9349.6
- É¢½ð: 4503
- ºì»¨: 77
- ɳ·¢: 2
- Ìû×Ó: 2745
- ÔÚÏß: 1465.6Сʱ
- ³æºÅ: 3086598
- ×¢²á: 2014-03-25
- ¹ÜϽ: Êýѧ

2Â¥2016-11-12 04:31:37
¹þ¹þЦÄà
½ð³æ (ÖøÃûдÊÖ)
- Ó¦Öú: 20 (СѧÉú)
- ½ð±Ò: 296.2
- É¢½ð: 71
- ºì»¨: 4
- Ìû×Ó: 1489
- ÔÚÏß: 495.5Сʱ
- ³æºÅ: 4520468
- ×¢²á: 2016-03-19
- רҵ: ·ÇÖÞÎÄѧ
3Â¥2016-11-13 00:33:10
¹þ¹þЦÄà
½ð³æ (ÖøÃûдÊÖ)
- Ó¦Öú: 20 (СѧÉú)
- ½ð±Ò: 296.2
- É¢½ð: 71
- ºì»¨: 4
- Ìû×Ó: 1489
- ÔÚÏß: 495.5Сʱ
- ³æºÅ: 4520468
- ×¢²á: 2016-03-19
- רҵ: ·ÇÖÞÎÄѧ
4Â¥2016-11-13 00:38:02
Edstrayer
°æÖ÷ (ÖøÃûдÊÖ)
·½´ç¶·ÊÒСÌìµØÕýÆøÃÔÂþ´óÊÀ½ç
- ÊýѧEPI: 7
- Ó¦Öú: 157 (¸ßÖÐÉú)
- ¹ó±ö: 0.927
- ½ð±Ò: 9349.6
- É¢½ð: 4503
- ºì»¨: 77
- ɳ·¢: 2
- Ìû×Ó: 2745
- ÔÚÏß: 1465.6Сʱ
- ³æºÅ: 3086598
- ×¢²á: 2014-03-25
- ¹ÜϽ: Êýѧ

6Â¥2016-11-13 04:58:27
Î÷ÃÅ ß
Òø³æ (ÖøÃûдÊÖ)
- Ó¦Öú: 16 (СѧÉú)
- ½ð±Ò: 473.1
- ºì»¨: 9
- Ìû×Ó: 1797
- ÔÚÏß: 239.6Сʱ
- ³æºÅ: 4397993
- ×¢²á: 2016-02-09
- רҵ: Ô˳ïѧ

7Â¥2016-11-13 13:44:56
iάÊý
ľ³æ (ÕýʽдÊÖ)
- ÊýѧEPI: 4
- Ó¦Öú: 74 (³õÖÐÉú)
- ½ð±Ò: 3148.6
- ºì»¨: 10
- Ìû×Ó: 691
- ÔÚÏß: 941.9Сʱ
- ³æºÅ: 3691318
- ×¢²á: 2015-02-17
- ÐÔ±ð: GG
- רҵ: ƫ΢·Ö·½³Ì
8Â¥2016-11-13 13:50:57
Î÷ÃÅ ß
Òø³æ (ÖøÃûдÊÖ)
- Ó¦Öú: 16 (СѧÉú)
- ½ð±Ò: 473.1
- ºì»¨: 9
- Ìû×Ó: 1797
- ÔÚÏß: 239.6Сʱ
- ³æºÅ: 4397993
- ×¢²á: 2016-02-09
- רҵ: Ô˳ïѧ

9Â¥2016-11-13 13:56:04
hank612
ÖÁ×ðľ³æ (ÖøÃûдÊÖ)
- ÊýѧEPI: 14
- Ó¦Öú: 225 (´óѧÉú)
- ½ð±Ò: 14270.6
- É¢½ð: 1055
- ºì»¨: 95
- Ìû×Ó: 1526
- ÔÚÏß: 1375.8Сʱ
- ³æºÅ: 2530333
- ×¢²á: 2013-07-03
- ÐÔ±ð: GG
- רҵ: ÀíÂۺͼÆË㻯ѧ
|
http://muchong.com/bbs/viewthread.php?tid=10248050&authorid=2348409 ¿ÉÒԲο¼ @gold2007 ´óÉñ µÄ½áÂÛô? @Àî¸ÉÊÇ Ö¸³ö ÄãµÄ²ÂÏëÊdzÉÁ¢µÄ. |

10Â¥2016-11-16 09:14:07













»Ø¸´´ËÂ¥